
上篇文中介绍了最新电力线载波通讯技术Nessum(原名“HD-PLC”),对Nessum有了初步了解。本文将就Nessum在智能楼宇管理及全屋智能两个应用领域展开深入介绍。
智能楼宇管理及全屋智能一般是指综合利用计算机、通信网络系统等方面的最新技术,使建筑物内的电力、空调、照明、安防设备等协调工作,使建筑物具有安全、便利、高效、节能的特点。在中国房地产业不断蓬勃发展的背景下,智能楼宇系统以及全屋智能近年来发展的越来越快。目前在北上广深等全国一线城市的高档建筑物或是高级公寓中建筑自动化系统已经成为了应用的新潮流。其中,Nessum电力线载波通讯技术可为智能楼宇管理及全屋智能提供广阔的应用市场。
-
照明设备:照明控制系统根据不同场景自动调节照明亮度,例如在无人使用照明的情况自动关闭电源,或是在有充足光线时自动调节光线强度降低能耗等。 -
冷暖空调:通过冷暖空调系统监测环境温度、湿度和空气质量。冷暖空调设备可根据使用模式和外部天气优化供暖和制冷,最大限度地减少能源使用,提高用户舒适度。 -
安防设备:建筑物出入控制系统及建筑物内安防监控。安防系统只允许授权人员访问,闭路电视系统对关键区域及外来人员提供实时监控和记录。电子显示器显示日常通信,并在需要时提供安全信息,如紧急出口指示等。此外,双向音频系统有助于加强建筑物用户与管理应急服务部门之间的通信。 -
电梯:电梯控制系统能对电梯进行调度,同时还能实现电梯层楼位置显示等功能,从而提高电梯的运行效率和乘客的乘坐体验。 -
停车和汽车充电桩:停车系统能对停车区域内车位占用情况进行监控,提示空位,同时还能监控行人交通。充电桩系统可以监测和控制电动车充电情况。

图1:Nessum在智能楼宇中的应用

图2:Nessum在全屋智能中的应用
案例:日本札幌市AOAO SAPPORO城市水族馆
位于日本札幌市的AOAO SAPPORO城市水族馆实现了现代化和数字化运营。系统开发商利用Socionext自研的Nessum通信芯片构建了一套数字化管理系统,对水族馆生物环境进行远程监控,为水族馆生物提供24小时生命监测。
得益于基于Nessum通信芯片的应用,水族馆数字化管理系统得到了进一步提升:
无需铺设新的通信网络,为水族馆提供稳定、高速通信
大幅缩短施工期、控制初期成本
对水族馆生物进行实时数据分析及控制,提高水族馆运营效益
Nessum如何实现简化网络部署和管理

图3:Nessum 支持多种现有电力线

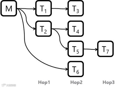
图4:Nessum主机和多个终端之间的路由例
往期回顾
|
01 |
|
02 |
|
03 |
|
|

