近日,嘉兴市工信局公示了2020年市级第二批工信资金拟补助项目名单,其中12个通过国家两化融合贯标认证的项目拟获得50万元的资金补助。公示时间为5月6日至10日。

关于2020年市级第二批工信资金拟补助项目的公示
根据《进一步完善市级工业和信息化资金常态化申报机制的操作办法(试行)》(嘉工信办〔2019〕2号),市工信资金办公室于2020年4月20日在网络申报平台集中受理了一批工信资金项目,其中,129个项目符合补助要求,现予以公示,公示时间为5月6日至10日。如有不同意见,请于公示期间向市工信资金办公室反馈,联系电话:82031305,83681938。
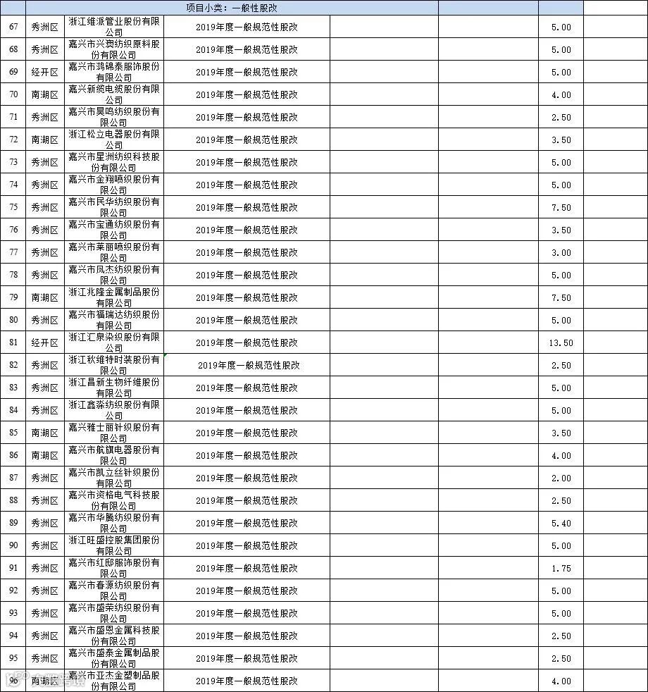
名单如下
(点击查看清晰大图)




完
声明:本文来源于嘉兴市工信厅,版权归原作者所有,如有违规、侵权请联系我们删除。


