
2010年,Anna和她的丈夫决定将他们儿子Ryan的脐带血保存在新英格兰脐带血库(NECBB)。两年后,他们也保存了女儿Sarah的脐带血。
不幸的是,Sarah在3岁时被诊断为自闭症。
不过,Anna很快就想到了使用脐带血干细胞治疗自闭症的可能性,她加入了脸书群组,在互联网上了解干细胞治疗自闭症的各项研究进展,为Sarah寻找适合的治疗方法。
一年后,杜克大学开展的一项自体脐带血治疗自闭症的临床试验进入了Anna的视野,她联系到杜克大学,希望能让女儿参加这项临床试验。

文章截图
2016年6月,Sarah被杜克大学纳入临床试验,母女俩满怀希望前往北卡罗来纳州,随后在NECBB的协调下,Sarah的脐带血被安全及时运抵,她将使用自己的脐带血干细胞治疗自闭症了。
Sarah第一阶段的治疗于2017年2月完成,家人感觉Sarah没有任何变化。她的语言技能还是低于同龄人,她的绘画只是纸上简单的线条,她在社交方面也仍然有些笨拙。
由于这项临床试验是随机双盲对照交叉设计,所以Anna并不能确定Sarah的第一次治疗接受的是脐带血干细胞还是安慰剂,她推测可能是安慰剂。

流程图
Sarah第二阶段治疗后发生了戏剧性的改善。
在不到一年的时间里,Sarah的语言从两到三个单词组成的短句发展为16个单词组成的长句,她在纸上的涂鸦也变成了精致的花朵图像。此外,她发脾气的次数急剧下降,社交能力评估显示她“非常出色”。
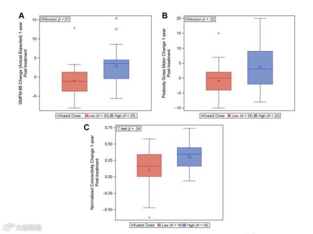
杜克大学的临床试验结果显示,当单次剂量超过每公斤体重 2500 万个细胞时,静脉输注自体脐带血一年后,脑瘫患儿的运动功能获得了改善。

低剂量组 高剂量组
A:治疗1年后GMFM-66 改变
B:治疗1年后PDMS-2 改变
C:治疗1年后大脑连接改变
Sarah仍然处在学前个人教育计划(IEP)中,但她的母亲认为一切都变好了。
“虽然仍有一些障碍和发育迟缓,但Sarah各方面都有所改善。”Anna指出,女儿取得的进步让他们感到振奋。
Sarah的故事并未结束。
哥哥Ryan与她是HLA半相合,因此Ryan的脐带血干细胞也可用于延续她的治疗。今年5月,Anna为Sarah在杜克大学的一项扩大应用范围的临床试验中完成了注册,这项临床试验允许使用患者兄弟姐妹储存的脐带血干细胞。
“我们应该立即停止将这些干细胞(脐带血)当做医疗废物扔掉,它们是宝藏。我将孩子的脐带血储存下来,作为他们的一种保障。我压根不希望会需要用到这些干细胞。通过自体脐血库,我们有自己的干细胞供我们自己使用。现在,我很高兴我们做的这个决定(储存脐带血)。“Anna说。
Anna对于不久的将来会出现间充质干细胞(MSCs)治疗自闭症的临床试验感到乐观。MSC不仅是可以自我复制的种子细胞,而且还可以分化成许多不同的细胞类型。有了这种特质,它们有朝一日可以修复或替代各种各样的组织,如骨骼,软骨,神经细胞,肌肉细胞等。MSC可以在脐带组织和牙髓中找到。
Anna说,她真希望当初在保存Sarah脐带血的同时,也保存了脐带(间充质干细胞)。此外,NECBB的附属公司National Dental Pulp Laboratory,Inc.(NDPL)处理和储存从牙齿中提取的牙髓干细胞。
Anna补充说,“我对治疗的潜力感到兴奋。我希望FDA能够尽快打开这项治疗的大门。治疗是安全的,所以我们应该让人们从中受益。“
NECBB已将兄妹的标本运往杜克大学,以便给Sarah提供进一步的治疗。Anna希望这能帮助Sarah在与自闭症的斗争中坚持下去。
现在的Sarah已经是一名5岁半的女孩。她在学校里茁壮成长,与朋友一起享受生活。
-END-




