
间充质干细胞的免疫学效应朝着抗炎/耐受特性方向倾斜,通过各种生长因子可降低树突细胞产生/分化,增加调节 T 细胞数量和抑制效应T细胞从而调节免疫反应,间充质干细胞缺乏 MHCⅡ型抗原,说明其在同种异体移植中可以规避免疫反应。
是一种累及中轴骨的慢性关节炎疾病,属于自身免疫性疾病。全基因组关联研究发现这种与 基因高度相关疾病有特异性免疫途径的参与,包括白细胞介素 17/白细胞介素 23 通路、核因子κ B 控制活化、 主要组织相容性复合体抗原呈递的氨基酸修剪等。
背景:间充质干细胞具有独特的免疫调节特性,使得其成为移植领域和治疗自身性免疫疾病的研究热点。
目的:探讨脐带间质干细胞对强直性脊柱炎患者免疫水平以及组织损伤的影响。
方法:回顾性分析 61 例强直性脊柱炎患者的临床资料,按照治疗方法分为对照组(33 例)和观察组(28 例),分 别进行免疫及生物剂治疗、脐带间充质干细胞输注治疗。治疗结束后随访 12 个月,观察两组治疗效果、免疫 学指标、病情活动指数评分和不良反应发生情况。
结果与结论:①总有效率:观察组和对照组分别为 89%和 76%,经比较差异有显著性意义(P < 0.05)。②随 访 12 个月,两组的血沉等指标均得到显著改善,且观察组均显著优于对照组(P < 0.05);两组病情活动指数 评分均随着时间的推移不断下降,且治疗后 3 个月开始,观察组病情活动指数评分均显著低于对照组(P < 0.05)。③不良反应:观察组有 1 例患者在治疗过程中出现注射外渗现象,经重新选择血管后顺利完成注射。2 例患者出现轻微发热现象,经积极物理降温之后体温恢复至正常水平。④结果表明,脐带间充质干细胞输 注治疗强制性脊柱炎可以显著改善患者的免疫水平,并有效减轻组织损伤,不良反应较轻微。
强直性脊柱炎是一种遗传性的免疫性疾病,具有隐匿性、进行性、全身性等特点[1]。患者常常表现为腰部或腰骶部疼痛,也就是腰和臀交界处疼痛,伴有僵硬感,呈间歇性和反复发作,并伴随腰部运动受限、腰肌萎缩等症状, 严重的可导致脊椎永久性僵硬变形[2]。关于强直性脊柱炎 的具体发病机制,目前尚不清楚,大多认为与机体免疫功能失调以及组织损伤等有关[3-4]。临床可以采用常规口服各种非类固醇抗炎药物治疗强直性脊柱炎,其中柳氮磺胺吡啶是一种常用的药物,但容易出现恶心、呕吐等不良反应[5]。随 着干细胞理论和技术的不断发展,新型的细胞疗法开始被应用于临床[6]。间充质干细胞具有良好的抗炎作用以及免疫调 节作用,开始被逐渐应用于治疗强直性脊柱炎[7]。文章对61 例强直性脊柱炎患者的临床资料进行回顾性分析,探讨脐带间充质干细胞对强直性脊柱炎患者免疫水平以及组织损伤的影响。
1.1 设计 回顾性病例分析。
1.2 时间及地点 于2013年8月至2015年8月在阆中市人 民医院骨科完成。
1.3 对象 纳入61例强直性脊柱炎患者,男43例,女18 例,年龄17-49岁,平均年龄(28.85±2.15)岁;病程3个月 至3年,平均(19.95±3.25)个月。采用美国风湿病学会(ARA) 确定的分级标准,经X射线分级[8],Ⅰ级(可疑骶髂关节炎)33例,Ⅱ级(骶髂关节边缘模糊,略有硬化和微小侵蚀病变,关节腔轻度变窄)21例,Ⅲ级(骶髂关节两侧硬化,关节边缘模糊不清,有侵蚀病变伴关节腔消失)7例。
纳入标准:①符合强直性脊柱炎诊断标准。②自愿受试,并签署同意书。③相关内容提交医学伦理部门审核通过,临床干细胞的使用通过相关伦理审批。
排除标准:①不符合强直性脊柱炎诊断标准者。②同时参加其他临床研究者。③身体一般情况差,有重大内科疾病或脏器功能衰竭并长期卧床者。入组患者按照治疗方法分为对照组(33例)和观察组 (28例),两组患者的平均病程和X射线分级情况等进行统计学比较,差异无显著性意义(P > 0.05)。
1.4 方法
1.4.1 人脐带间充质干细胞分离与培养获得健康孕妇分娩所得脐带,孕妇及其家属均知情同意,签署同意书。无菌条件下获得脐带,DPBS冲洗,添加胰酶消化。消化结束之后利用移液枪将细胞转移至离心管中,添加15倍体 积DPBS进行离心(1 500 r/min离心10 min),弃掉上清,用 DPBS平衡液进行清洗,收集细胞,置于DMEM培养基中 进行培养,制备脐带间充质干细胞悬液,调整细胞浓度为 2×10 10 L -1。
1.4.2 分组治疗对照组实施免疫及生物剂治疗,静脉滴注英夫利昔单抗,首次剂量5 mg/kg,然后,在首次给药后 的第2周和第6周及以后每隔6周各给予一次相同剂量。观察组外周静脉输注脐带间质干细胞,输注过程中保持静脉通畅,输注量30mL,输注时间30min,每隔4周进行1次输注治疗,共4次。两组患者在治疗期间均停用其他药物。治疗结束后随访12个月,观察两组的治疗效果、免疫水平、病情活动指数评分以及不良反应发生情况。
1.5 主要观察指标 ①治疗效果。经HLA-B27、骶髂关节CT及MRI综合判定,显效:基本恢复至正常水平,患者受 累关节晨僵、疼痛现象消失,脊柱活动情况基本恢复至正 常水平;有效:较治疗前明显好转,患者受累关节晨僵、疼痛现象明显改善,脊柱活动情况显著改善;好转:较治疗前好转,患者受累关节晨僵、疼痛现象、脊柱活动情况有改善;无效:患者受累关节晨僵、疼痛现象、脊柱活动 情况无明显改善。最终统计时,将显效、有效以及好转计入总有效率中。②免疫学指标。治疗前和末次随访,分别采集两组患者的清晨空腹静脉血,常规抗凝后送检,利用魏氏法检测血沉水平,利用双抗体酶联免疫夹心法检测细胞间黏附分子1以及血清肿瘤坏死因子α水平,严格按照试 剂盒说明书操作。③病情活动指数评分。治疗前和治疗后1, 3,6,12个月,分别进行病情活动指数评分,得分越高说明患者的病情越严重。④不良反应发生情况。治疗前后对两组患者进行常规肝肾功能等检查,了解是否出现异常,观察并记录患者在治疗过程中出现的发热、呕吐等不良应。
1.6 统计学分析利用SPSS 19.0软件完成数据处理。等级资料运用Radit分析,计量资料以x _ ±s表示,组间比较t检验,总有效率等计数资料进行χ 2检验,P < 0.05为差异有显著性意义。
2.1 随访情况与患者数量分析随访12个月,入组的61 例患者均顺利完成随访,并全部进入最终的结果分析。2.2 两组患者基线资料比较对两组患者的平均年龄、病程和X射线分级情况等进行统计学比较,差异无显著性意 义(P > 0.05),见表1。

2.3 两组患者治疗效果比较观察组治愈10例,对照组治愈5例,观察组和对照组的总有效率分别为89%和76%,经比较差异有显著性意义(P < 0.05),见表2。

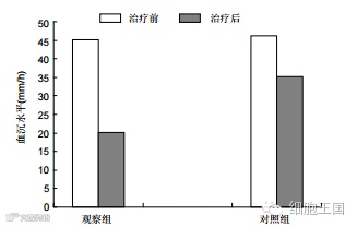
2.4 两组患者治疗前后免疫水平变化 随访12个月,两组患者免疫水平各项指标均得到显著改善,与治疗前比较差 异有显著性意义(P < 0.05);治疗后12个月观察组的各项指 标均显著优于对照组(P < 0.05),见表3,图1-3。2.5 两组患者治疗前后病情活动指数评分变化 随着时间的推移两组病情活动指数评分均不断下降。治疗后3个月开始,观察组的评分均显著低于对照组,差异有显著性意义(P < 0.05),见表4,图4。2.6不良事件观察组患者有1例在治疗过程中出现注 射外渗现象,经重新选择血管后顺利完成注射。2例患者出现轻微发热现象,经积极物理降温之后体温恢复至正 常水平。术后患者均未出现呕吐、肝肾功能异常等情况。对照组有5例患者在治疗过程中出现轻微恶心现象,未予 以特殊处理,均随时间推移自行消失。其余患者均未出现任何不良反应。


强直性脊柱炎是一种主要累及中轴骨骼(脊椎)的自 身免疫性疾病,也可累及其他组织,如心脏、眼部、肺部 等[8]。强直性脊柱炎的病程演变差异很大,其特征是自发缓解和加重交替出现。该病具有高致残性,如不及时有效治疗将可造成脊柱强直、驼背畸形等,严重影响患者正常 生活[9]。
强直性脊柱炎与遗传、感染、内分泌代谢等方面有一定的关系,很难做到很好的预防,因此早期发现显得尤为重要。强直性脊柱炎药物治疗措施少,无法治愈。在常用的药物中,长期服用不良反应大,容易耐药[10]。 目前,常采取激素类、非类固醇类、免疫抑制剂等药物治疗[11-13]。这些药物可以达到缓解患者肿胀、疼痛的效 果,但却无法阻止关节继续病变。随着病情的发展,患者还会出现贫血、消瘦、双下肢无力等症状。另一方面,目前常用的药物都存在不同程度的不良反应,容易造成 股骨头坏死、胃部出血、胃肠道反应、肝脏损害、骨髓抑制等[14]。
强直性脊柱炎与自身免疫功能关系密切,免疫功能会 出现明显紊乱,且出现各种组织损伤[15]。干细胞移植对患者本身的伤害极小,是治疗强直性脊柱炎的理想选择。通过细胞移植治疗能对患者失衡的免疫网络进行重建,使患者自身免疫功能得以长期缓解,同时修复被破坏的软骨及 关节组织[16-22]。

图 1 两组患者治疗前后血沉水平变化 Figure 1 Changes in erythrocyte sedimentation rates in the two groups before and after treatment

图 2 两组患者治疗前后细胞间黏附分子 1 水平变化 Figure 2 Changes in intercellular adhesion molecule-1 levels in the two groups before and after treatment

图 3 两组患者治疗前后血清肿瘤坏死因子α水平变化 Figure 3 Changes in serum tumor necrosis factor alpha levels in the two groups before and after treatment

图 4 两组患者治疗前后病情活动指数评分变化情况 Figure 4 Comparison of disease activity index scores between the two groups before and after treatment
干细胞可以逐渐代替病变部位死亡或受损的细胞, 与此同时分泌出细胞活性因子,修复被破坏的软骨及关节组织,骨关节变形停止,活动功能逐渐恢复,病情逐 渐好转[23-24]。另外,强直性脊柱炎患者的全身免疫功能基本失调,经细胞移植后,患者自身的免疫功能得到恢 复[25-27]。试验结果显示,观察组和对照组的总有效率分别 为89%和76%,经比较差异有显著性意义(P < 0.05)。随访12个月,两组血沉等指标均得到显著的改善,且观察组的各项指标均显著优于对照组(P < 0.05)。两组病情活动指数 评分均随着时间的推移不断下降,治疗后3个月开始,观察 组的病情活动指数评分均显著低于对照组(P < 0.05)。分析出现这一结果的原因,可能是因为间充质干细胞具有很强 的分化能力,可以在极短的时间内在病灶深处对病变细胞进行全方位包围,大量的活性细胞会分泌很多种营养因子,促进损伤细胞的修复[28-29]。随着细胞的不断分化、增殖,在修复受损细胞的同时激活体内休眠的细胞,逐渐恢复相 应的功能[30-32]。活性细胞还能激活患者体内沉睡的免疫因 子,调节失衡的免疫机制,提高患者自身免疫力,从而达到标本兼治的最佳疗效[33-36]。观察组患者有1例在治疗过程中出现注射外渗现象,经重新选择血管后顺利完成注射。2例患者出现轻微发热现象,经积极物理降温之后体温恢复 至正常水平。患者均未出现呕吐、肝肾功能异常等情况,表明间充质干细胞输注治疗强直性脊柱炎不良反应轻微。综上所述,脐带间充质干细胞具有分化能力和免疫调节以及抗炎等能力,将其植入强直性脊柱炎患者体内,可以修复体内关节病变坏死、受损的细胞,达到机体免疫功 能重建、减轻组织损伤的目的,且不良反应轻微,是一种安全有效的治疗方案。




