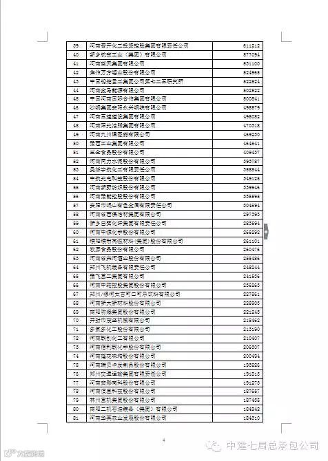
12月9日, 由河南省企业联合会、河南省企业家协会联合发布的2015河南企业100强榜单出炉,中国建筑第七工程局有限公司以4862713万元的营业收入名列第四位。比2014年的8位大幅前进4个位次,行业地位显著提高,继续保持中原地区建筑企业龙头地位。
据悉,河南能源化工集团、中国平煤神马能源化工集团、郑州铁路局位列前三。
2015河南企业100强涵盖了全省不同性质、不同行业的大企业:国有及国有控股企业50家,民营企业43家,外商投资企业7家;第二产业90家,以服务业为代表的第三产业10家。
2015河南企业100强实现营业收入12731.30亿元,较上年的14308.22亿元减少1576.92亿元,下降幅度为11.02%。入围企业中,年营业收入超过300亿元的企业有10户;超过100亿元的有26户,较上年减少6户。河南能源化工集团以年营业收入2043.37亿元蝉联第一位,第100名黄河勘测规划设计有限公司为10.56亿元。
数据显示,2015河南企业100强资产总额为20966.76亿元,较上年的19280.18亿元增长8.75%,资产规模出现翘头迹象。另一方面,100强企业实现净利润277.57亿元,较上年的283.12亿元下降1.96%,经济效益指标低位徘徊,企业发展形势依然严峻。






中建七局微信平台

更多精彩,敬请期待!

