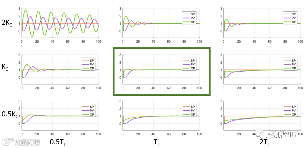
图 6‑1显示了比例和积分时间的差异如何影响PI控制器的响应。正中间的图形为最优参数情况。由图 6‑1可见,随着参数的整定,无论是翻倍还是减半,过程的每一个动态响应都截然不同。左上角的图显示,当比例加倍,积分时间减半时,控制器会产生大而缓慢的阻尼振荡。相反,右下角的图显示,当控制器比例减半,积分时间加倍时,响应变慢,控制回路抗干扰能力不足。
最优参数情况下,控制回路做设定值变化,测量值表现为:无超调,不拖尾。控制器输出表现为:有超调无振荡。
从图中可以看到,PID参数乘以2或者除以2闭环性能才有明显的变化。如果在实际操作中闭环性能不理想,只是小幅度的微调参数往往不会有明显的改进。

图6‑1 PID控制效果示意图
更多内容请关注


