最初的PID算法都是基于某些气动和电子控制器设计的。比例控制是当时占主导地位的控制算法,PID控制器经过模块化设计,使得积分和微分作用是控制器中包含的单独硬件模块,除了仅比例作用之外,还要付出额外的成本,实现积分和微分作用的最简单方法是一种恰好对控制器增益具有交互作用的方法。换句话说,这种算法形式是为了简化控制器的物理设计而做出的一种折衷。交互式PID又称为串联PID。
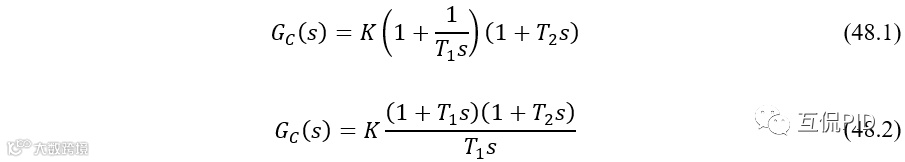
交互式PID算法如今在许多系统中仍然可以找到它。如前所述,大名鼎鼎的ZN参数整定方法就是针对1940年代流行的交互式PID控制算法开发的。时域上的交互式PID算法如图48‑1所示。

图48‑1交互式PID算法
交互式PID算法:

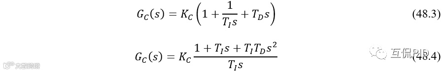
DCS大行其道后,使用更多的是非交互式PID算法,也称为:ISA形式、标准形式或理想形式。标准形式的PID算法:

时域上的标准PID算法如图 48‑2所示:

图48‑2非交互式的PID算法
两种算法在不使用微分时的算法在时域和频域都完全一样,没有区别。
即使使用微分,交互式PID的参数可以用下面的公式转化成非交互式PID的参数,两种PID算法完全等价:

增加微分后两种算法的差别还是有一些的:
交互式PID的参数可以用下面的公式转化成非交互式PID的参数。但是如果TD>TI/4,非交互式PID的参数不能转化成交互式PID参数;
交互式PID离散化的难度要比非交互式PID算法的难度大一些;
交互式PID无论参数怎么设置也只能提供2个实根零点,而非交互式PID能提供实根零点和共轭虚根零点。零点的多样性增加了PID零极点消除的能力可以显著改善控制性能。
在数字化控制时代,两种算法的成本几乎为0,而非交互式PID算法容易实施而且功能更强大。这些理由已经足以让ISA推广非交互式PID算法,交互式算法在完成气动仪表时代的任务后,在数字化控制时代渐行渐远有其必然性。
“老兵不死只是逐渐凋零”,向交互式PID算法致敬!


欢迎关注“上海华理自动化系统工程有限公司”


