效率、效益、效能
撰文:冯少辉
一个积分被控对象其开环单位输出的阶跃响应如下图所示。

图 63‑1 被控对象输出单位阶跃相应曲线

PID控制器选择最强参数计算如下:

使用这组PID参数进行设定值阶跃变化响应曲线如下图所示。

图 63‑2 最强参数设定值阶跃变化响应曲线
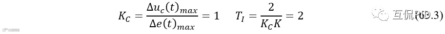
当被控对象的纯滞后很大时,使用最强参数可以避免太强比例作用引起的同相位振荡。但是当被控对象的纯滞后很小时,使用最强参数可能导致控制器输出在设定值变化或者大干扰时的变化太大,影响下游装置或者导致控制器输出饱和。在实际工作中很多时候采用均匀液位的控制思路确定PID参数。当最大的液位偏差Δe(t)max出现时,生产操作人员允许的最大控制器输出变化Δuc(t)max用于计算比例作用。
在液位控制已经投自动而且等幅振荡时可以将PV的波动幅度当作最大的液位偏差,将控制器输出的波动幅度当作允许的最大控制器输出变化用于计算比例作用。
采用均匀控制思想,规定比例增益后,相应的积分时间也就确定了:

使用这组PID参数进行设定值阶跃变化响应曲线如下图所示。
积分对象基于Lambda方法的整定规则,适用于均匀控制和大纯后等各类积分被控对象,可以作为PID整定标准化的基础。

图 63‑3 均匀控制参数设定值阶跃变化响应曲线
欢迎关注“上海华理自动化系统工程有限公司”


