通过使用比例-积分-微分(PID)控制器,自动控制系统使复杂的生产过程以安全和高效的方式运行。它们通过连续测量过程操作参数(如温度、压力、液位、流量或浓度),然后决定如何调节阀门开度、泵速或热量等,从而将过程测量值保持在设定值。

图 43‑1 PID控制框图
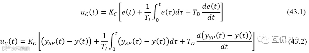
PID是最常见的控制器,其时域形式:

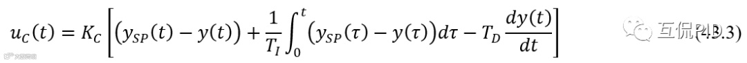
在实际应用中,这种形式的PID在设定值变化时,由于微分作用会导致控制输出的大幅度变化。实际应用中PID往往采用不完全微分,即使这样设定值变化时,控制器的输出还是变化比较大,为了在偏差变化时控制器及时采取动作同时防止设定值变化时的不希望动作,PID变形为PI-D形式。即PI作用于偏差,D作用于测量值。PID的三个参数同时作用于设定值和测量值的偏差。

同样当被控对象的纯滞后比较小时,可以使用比较强的比例作用提高控制回路的抗干扰能力。当比例作用太强时,设定值变化时控制器输出也会有比较大的变化,为了解决这个问题PID进一步改进出I-PD形式。即I作用于偏差,PD作用于测量值。

Lambda整定方法是根据设定值响应给出的PID参数。选择非PID标准形式时往往更关注控制回路的抗干扰能力,此时期望闭环响应时间应该选择最强的参数,自衡对象的期望闭环响应时间λ可以选择等于纯滞后,积分对象的期望闭环响应时间λ可以选择等于2倍纯滞后。
如果对设定值跟踪性能要求不高,推荐使用I-PD形式,并选择最强期望闭环响应时间。
使用试凑方法进行PID整定时要注意PID的形式,如果不是标准形式很难根据闭环响应曲线判断PID参数的强弱。


欢迎关注“上海华理自动化系统工程有限公司”


