01
线上报备
不具备线上报备条件的人员还可通过
电话方式向各区(市)县
相关社区(村)报备
02
电话报备
为方便各位与所在社区联系报备
咨询了解社区疫情防控政策措施
小锦为大家整理汇总了
成都23区(市)县的
城乡社区24小时应急值守电话
建议收藏起来
↓↓↓
1
天府新区

(上下滑动查看更多)
2
高新区

(上下滑动查看更多)
3
东部新区


(上下滑动查看更多)
4
锦江区

(上下滑动查看更多)
5
青羊区

(上下滑动查看更多)
6
金牛区

(上下滑动查看更多)
7
武侯区
(上下滑动查看更多)
8
成华区

(上下滑动查看更多)
9
龙泉驿区
(上下滑动查看更多)
10
青白江区

(上下滑动查看更多)
11
新都区
(上下滑动查看更多)
12
温江区
(上下滑动查看更多)
13
双流区
(上下滑动查看更多)
14
郫都区

(上下滑动查看更多)
15
新津区
(上下滑动查看更多)
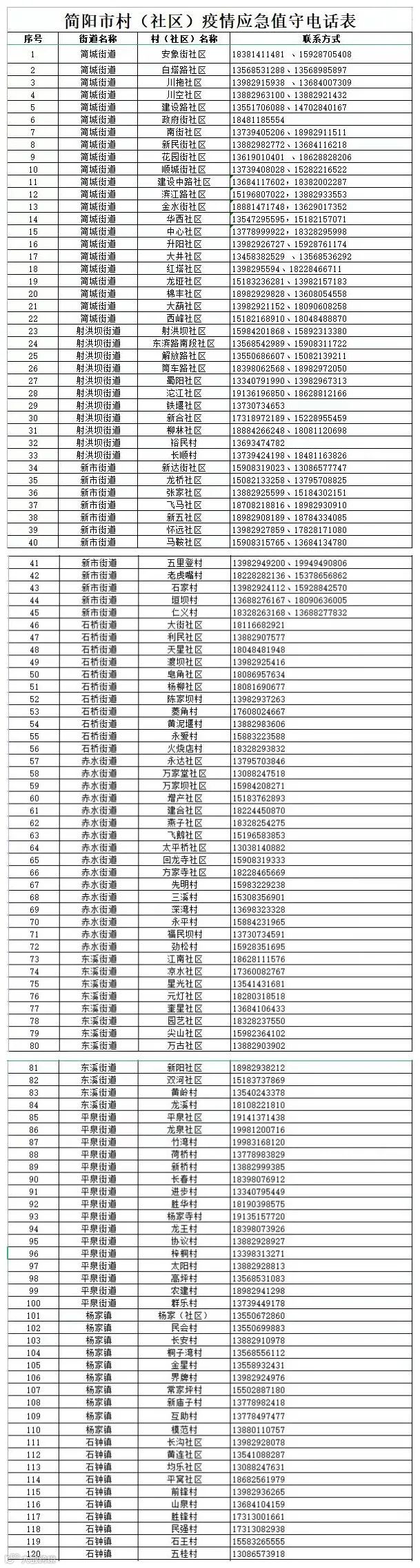
16
简阳市
(上下滑动查看更多)
17
都江堰市

(上下滑动查看更多)
18
彭州市


(上下滑动查看更多)
19
邛崃市
(上下滑动查看更多)
20
崇州市
(上下滑动查看更多)
21
金堂县
(上下滑动查看更多)
22
大邑县
(上下滑动查看更多)
23
蒲江县
(上下滑动查看更多)
转发收藏!


