踏入2018年,为了回馈用户对广骏二手车的支持与信赖,我们决定重启一月一度的有奖竞猜活动。而我们的竞猜活动也会逐步完善、升级。游戏玩法与奖品也会逐渐变得丰富多样,务求让各位用户积极参与,乐在其中。2018年的首期活动,因为临近广州中小客车指标竞价摇号的日子。我们决定承继之前活动的玩法,继续对广州中小客车个人指标竞价平均成交价进行竞猜。

(1月份指标竞价开始时间)
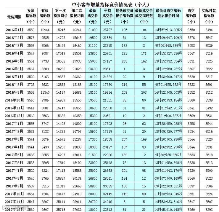
这个玩法,相信对大家来说都已经驾轻就熟了。不知道大家对2018年1月的指标竞价是否有心水价位呢?没有的话不妨参考下以往每月的竞价价格喔!

(上月竞价结果)

(过往每月个人竞价结果)
不看不知道,一看吓死人。2017年最后四个月个人竞价均价都在30000以上,小俊君看到真是摸一把汗,小骏君还是乖乖等摇号吧,好了,我也不啰嗦了,既然有这些数据做参考,小俊君也来猜一把,算是给大家多个参考吧。我想大家看到最后四个月的均价都会猜1月份应该也会在30000以上。但是小俊君并不这么认为。我看了看以往的结果,发现每到1月份价格都会有大概2-3千的小幅回落。所以小俊君猜2018年1月个人竞价的平均价大概会在29500左右,那我猜平均价是29575吧。大家可以参考一下,看看小骏君是不是神预测!
活动时间:2018年1月23日-2018年1月25日12:00结束。得奖结果会在1月25日广骏二手车公众号公布。
竞猜内容:竞猜2018年1月广州中小客车个人竞价平均成交价是多少元。
参与方法:在本篇推文下方留言,写下你认为的2018年1月广州中小客车个人竞价平均成交价即可。
获奖方法:我们会从用户留言中选出最接近1月个人指标竞价平均成交价的5位用户。
活动奖品:车载支架一份

奖品已备好,行动起来吧,动动你的手指头精美礼品等着你喔!!!
— THE END —
点击“阅读原文”查看更多车型


