▲ 点击上方“金星宇遮阳”关注公众号
遮阳在节能建筑中应用的原则
“被动优先、主动优化”
众所周知,门窗一直是建筑外维护中节能最薄弱的部位,是因为门窗的得热和失热主要是通过:太阳得热、热交换、空气渗透三种途径得以实现的。建筑门窗发展至今,本身性能大幅提升 。
65%节能建筑中常用的窗:整体传热系数K值≤2.4w/m²·k、气密性≥6级;
75%节能建筑中常用的窗:整体传热系数K值≤1.6w/m²·k、气密性≥7级;
极大降低了门窗热交换和空气渗透两种途径产生的得热和失热,但对另一个指标——太阳得热,无任何一点改善,须关注并改善。否则,门窗作为建筑外维护的构件,其节能属性改善有限。
那么,设置遮阳的措施来调节太阳得热系数(SHGC值),改善门窗的工作环境并有效降低眩光,来提高室内的舒适度是“被动优先”原则的具体体现,相当于综合提升了门窗的性能,进一步改善了门窗在建筑外维护的节能薄弱环节。
在设置门窗遮阳改善节能薄弱环节的基础上,如何设置?使得门窗更节能,寿命周期的性价比更高,则属于“主动优化”的范畴,下面主要从如下几个方面来体现“主动优化”:
想回答这个问题其实不难,主要是依据节能建筑所处的外部环境(气候区、太阳高度角、方位角、日照时长),同时兼顾生产、生活习惯来优化建筑朝向、窗洞采光面积比/窗墙比;在此基础上,进行日照分析,并主要结合遮阳的设置条件:
1.室外气温≥29℃;
2.阳光进入室内时长≥1h;
3.阳光进入室内距离≥0.5m;
4.光照强度≧240Kcal/㎡·℃·h;
来综合判定哪些部位的门窗需要设置遮阳;当然在此特别说明,建筑设计标准仅是通常情况下的做法及指标值,并非“一成不变”,例如:夏热冬冷地区,在建筑东、西向 [从东或西偏北30°(含30°)至偏南60°(含60°)的范围]和南向[从南偏东30°到南偏西30°的范围] 需设置遮阳,而标准中的北向一般不做要求,但如果建筑北向有强烈的镜面(如:高大的玻璃幕墙、大片清澈水面等)反射时,北向仍旧需要设置遮阳。
由此可见建筑设计标准仅供参考、不能照搬照抄,相对而言利用遮阳的设置条件进行具体分析判定更合适。
— 2 —
相对门窗作为维护分隔室内外的构件而言,遮阳的位置无非就是:外、中、内;也依门窗位置也简称:外遮阳、中置遮阳(玻璃内遮阳)、内遮阳。当然,也不能忽视门窗本身的遮阳功能,从遮阳节能效果来看,建筑行业一致认为:外遮阳的效果优于中置遮阳和内遮阳。
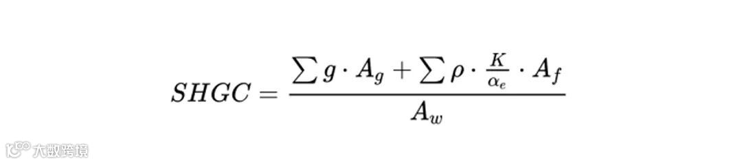
这个结论,利用门窗的太阳得热系数公式则不难理解。
对于同样尺寸和热工性能的门窗来说,在遮阳设施完全闭光的前提下,外遮阳设施仅有微量的透射比或漫反射产生的热来作用,其遮阳的效果也是最优的;而中置遮阳则以遮挡阳光和门窗蓄光热的方式,门窗本身已积蓄的热量绝大部分会传向室内,其遮阳效果一般;内遮阳则是以室内遮阳设施的遮光和反光为主,光热已进入室内,其遮阳效果最差。
可见,从遮阳效果上确定外遮阳是“主动优化”的第二步。
—— 3 ——
至于产品其他方面指标参数及重点的选择(诸如:遮阳系数、抗风性能、耐久性、方案深化节点、施工工艺、控制要点等),在接下来文章中阐述。
外遮阳按活动与否可分为:活动式与固定式。至于到底是选择活动与否,同样视建筑具体的需求。
应该说,活动式与固定式各有优势,他们都在具有遮阳功能的同时,也有其他的功能属性,如下表:
由上表可见,活动式外遮阳具有应用面更广、可调节的巨大优势,是节能建筑进一步改善外维护节能薄弱部位——门窗优选措施和产品,并已在节能中广泛使用,为建筑中的人群提供了舒适环境、同时也降低了建筑能耗,点滴响应国家“双碳”目标。
”
上述观点如有不足,敬请各位专家、行业同仁、朋友,批评指正!
推荐阅读:
▲ 点击上方卡片关注金星宇,助力双碳目标
智动阳光,节能中国
欢迎把文章分享到朋友圈



