艾瑞德小编经常接到客户来电询问喷灌机的价格后,总是问一下该为喷灌机配置多少千瓦的水泵?说实话,小编没法告诉他们,因为要计算水泵的大小,我需要知道很多东西,今天小编举个例子告诉大家计算水泵的方法。在此之前我们先搞清一下概念,水泵的扬程、流量和功率是考察水泵性能的重要参数,客户所说的多大的水泵,意思就是指多大功率的泵。
一、水泵的流量
水泵的流量是由灌溉面积和作物需水量来决定,作物需水量等于蒸发蒸腾量,不同地区不同的作物需水量是不一样的。举个例子,假设在宁夏盐池地区种植玉米400亩,查询得知玉米在当地高峰期雨水量是8.1mm/d,设备运行时间考虑维护时间后按22小时来算,则每小时的需水量为:
400亩*666平方米*0.0081米/22小时=98.1方
这个计算公式很简单,相信很多朋友都知道。
二、扬程
水泵的扬程是指水泵能够扬水的高度,通常用H表示,单位是m。之所以来计算水泵的扬程,是因为要保证喷灌机最小的入水口压力,以保证喷灌机最后一个喷头能够正常工作。
喷灌系统的设计扬程应按下式计算:
H=hf+hj+h喷+h动+h泵
式中:
hf—沿程水头损失(m),
hj—局部(m);
h喷—喷灌机入口压力(m)
h泵—泵房内的水头损失(m),一般取3m,取3m
h动—动水位深度。
所以从水泵一直到喷灌机的进水口,都存在影响因素,大致分这么几个:
1、动水位
水位有静水位、动水位之分。开机抽水前的水面标高称静水位,开机抽水时,机井水面随抽水时间下降,这个变化的水面标高称动水位。在水泵出水量相对稳定、水面降到某一深度便稳定下来不再下降时的水面标高称稳定动水位。通常说的动水位是指稳定动水位。每个地区的动水位甚至每块地的动水位都是不一样的,这里为方便计算,假设这块地的动水位20米。h动=20m
2、单井出水量
单井出水量又名单井流量,它指一口地下水井在某一降深条件下的流量,当然每个地区的单井的出水量是不一样的。假设为50方水每小时。Q=50m3/h=0.0139 m3/s
细心的朋友会发现,要满足400亩玉米的需水量,一口井是不够的,需要两口井,那我们把它们串联起来,假设我们在中心点挖一个蓄水池。两口井分别配置水泵,同时往蓄水池送水,蓄水池再通过水泵往喷灌机供水。


灌溉面积400亩的喷灌机半径为291米,因此我们假设把井打在距离中心点蓄水池300米的地方,当然两口井的距离要足够大以保证不相互影响。供水管道为由水源井到喷灌机中心点的输水管道,采用PVC。
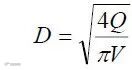
3、管径选择:
经济管径按下式计算:

其中:d—输水管道内径(m)
Q—管道设计流量(m3/s ),每眼井供水流量Q=50m3/h=0.0139 m3/s
V—管道内径经济流速(m/s),PVC 管为1~1.5m/s,取V=1.2m/s
经计算得:D=0.109(m)取D=110mm。
即供水管长度平均为L=300m。ф110PVC管内径d=103.6mm。不同内径的壁厚不一样,SDR不一样,承压能力也不一样。一般的只要流速不超过2m/s即可。PVC管要埋入当地冻土层以下,同时要有一定的斜度以便于冬季排水。
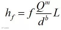
管道沿程水头损失计算公式:

式中:hf——管道沿程水头损失,m;
f——摩阻系数,PVCf=94800;
Q——管道流量,Q=50m3/h ,
d——管道内径,d=103.6,;
m——流量指数,m=1.77(PVC);
b——管径指数,b=4.77(PVC);
L——管长, L=300m
供水PVC 管沿程水头损失为:
hf1= 7.04(m)
这个是不是太难了,不要紧,艾瑞德小编比较懒,是绝对不会拿着计算器这样算的,在这里,小编给大家推荐一个简单的程序。

以下是计算步骤:只要选入PVC, 输入流量、内径、长度,水头损失即可得出。神奇吧?!

水泵出水管选择4寸焊接钢管(外径D=108mm),其内径为102mm,泵管一般下10段,每段长度3m,因此总长为30m。(一般的井的深度要比动水位深)。利用同样的软件,计算如下:

泵管沿程水头损失为:
hf2=1.81(m)
总沿程损失:hf1+ hf2=7.04+1.81=8.85m
总局部水头损失:
管道局部水头损失hj按沿程水头损失的10%,即0.89m.
井动水位深度为Δh=20m,忽略井位与中心蓄水池之间地面地形高差,考虑3m 注水水头,则供水设计扬程为:
H=8.85+0.89+20+3= 32.74(m)
4、潜水泵选择
算到这,是不是头大了,但是这里还少一个喷灌机的入水口压力,这个先放一边,我们得出的这个扬程已经可以选择机井的潜水泵了。即流量Q=50m3/h,扬程=32.74m.通过查询水泵参数

因此,每台两台潜水泵的型号为200QJ50-39/3,功率9.2KW.
5、喷灌机中心蓄水池水泵的选择
选择的原理都是一样的,流量前面已经计算过Q=98.1m3/h,扬程只是要计算喷灌机的入水口压力,这个计算方法要找喷灌机厂家了,主要由喷灌机的管径、流量、地形高差、喷头调压器等因素决定,通过计算喷灌机压力要求为16米,机组入口压力测试段与蓄水池平均水位高差约为2m,另外考虑2m局部水头损失。
设计扬程计算:H=16+2+2=20m
即流量Q=98m3/h,扬程=20m.通过查询水泵参数选择250QJ100-18/1 型潜水电泵。
以上是小编通过举一个例子来计算扬程,如果您选择的是卧式离心泵,计算方法一样,只是要考虑离心泵的汽蚀余量。小编会在以后的文章中专门介绍,朋友们敬请期待吧!
艾瑞德小编在此说明:本文引用不少图片、实际案例,目的旨在向喷灌机使用者理解并掌握喷灌机及其相关配套的知识。本文为艾瑞德小编原创,欢迎大家转发!回报在滴水间!

