国内著名智库“壹城经济咨询中心”
成都市青白江区从全国977个市辖区中脱颖而出
上榜2023市辖区高质量发展百强
(直辖市和副省级城市市辖区)





近日,国内著名智库“壹城经济咨询中心”在2023中国财富峰会发布《中国市辖区高质量发展报告2023》。报告以“中国式现代化与市辖区高质量发展”为主题,对内地城市的市辖区进行研究(不含港澳台),并将市辖区分为直辖市以及行政级别为副省级城市的市辖区和地级市的市辖区两类,从综合指标、创新发展、协调发展、绿色发展、开放发展、共享发展、安全发展等多个维度进行分类评价,形成两类城市市辖区高质量发展评价前100位排名表。
其中,青白江区成功上榜2023市辖区高质量发展百强(直辖市和副省级城市市辖区)。

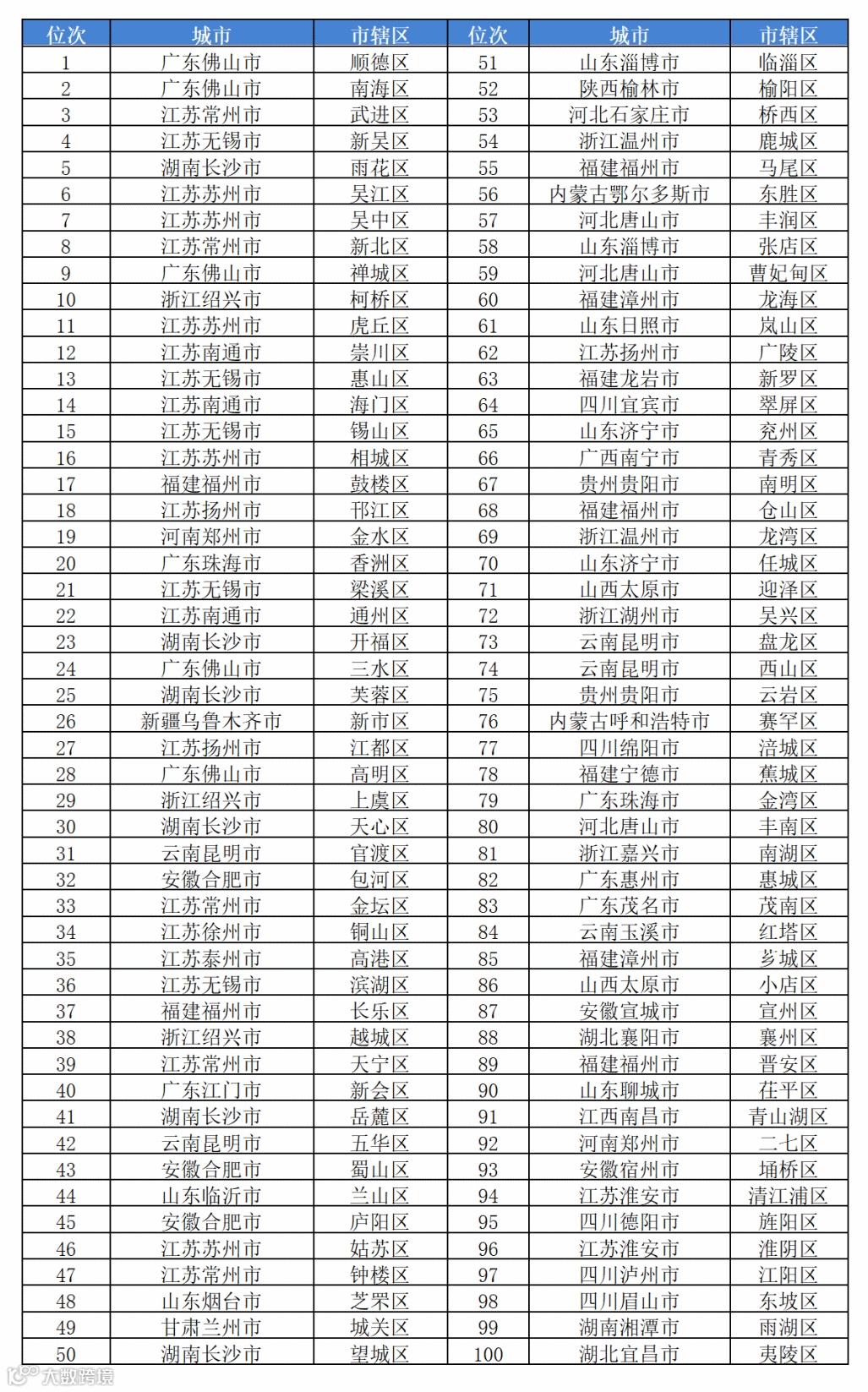
表1:2023市辖区高质量发展百强(直辖市和副省级城市市辖区)



恭喜青白江



今年是“一带一路”倡议提出10周年
也是成都国际班列开行10周年
十年来,青白江区主动服务国家、省、市战略
借力成都国际班列的高质量开行
以及成都国际铁路港的强磁场效应
成功从“内陆腹地”阔步迈向“开放高地”
迎来历史性嬗变
一座社会主义现代化国际化成都北部中心正加速崛起!
未来的青白江,必将更加精彩!


