搜索
首页
大数快讯
大数活动
服务超市
文章专题
出海平台
流量密码
出海蓝图
产业赛道
物流仓储
跨境支付
选品策略
实操手册
报告
跨企查
百科
导航
知识体系
工具箱
更多
找货源
跨境招聘
DeepSeek
首页
>
第三十七批被诉人员名单
>
第三十七批被诉人员名单
外贸信托小微金融
2021-01-06
2
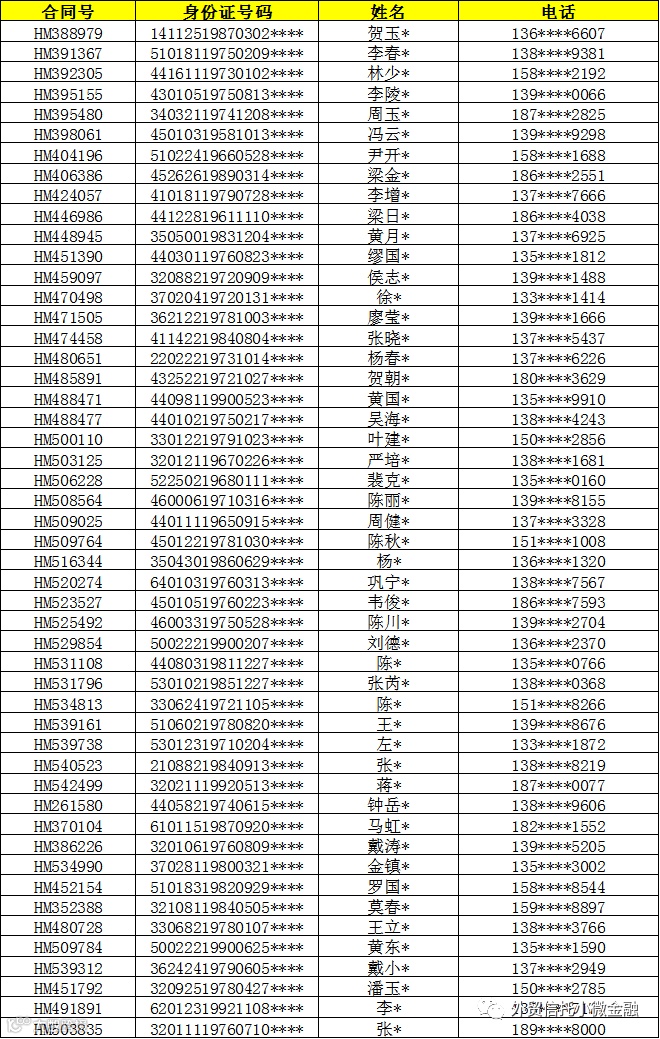
导读:为维护债权人合法权益,我司已向司法机关对部分逾期借款人提起诉讼,依法严肃追究借款人的法律责任。
为维护债权人合法权益,我司已向司法机关对部分逾期借款人提起诉讼,依法严肃追究借款人的法律责任。诉讼后,债权人将申请司法机关采取强制执行财产、将失信人纳入失信人名单等措施。现根据法院发给我司的通知,公布第三十七批被诉人员名单,所列人员可以
联系法院、我司或代理
律师
,名单如下
:
联系律师电话:18610478687
我司微信
服务
号:wmxtxwjr
客服电话:4000498555
注:后续诉讼名单会定期更新公布
加我:
【声明】内容源于网络
0
0
外贸信托小微金融
内容
24
粉丝
0
关注
在线咨询
外贸信托小微金融
总阅读
5
粉丝
0
内容
24