毫米级纯相六方金刚石成功合成
普通钻石(立方金刚石)具有立方晶体结构;朗斯代尔石,即六方金刚石,原子呈ABAB…六方堆叠,结构更接近石墨而非立方金刚石。
1967年,美国地质学家在亚利桑那州巴林杰陨石坑的陨石碎片中首次发现该矿物,推测由撞击产生的极端温压将石墨直接相变为六方结构,并以晶体学家凯瑟琳·朗斯代尔命名。
此后数十年,六方金刚石长期被质疑为“缺陷态立方金刚石”——大量研究认为其所谓六方特征实为孪晶、层错等晶格缺陷所致;实验室合成样品也多为纳米级混相,难以确证本体结构。
近年,块体合成取得突破:2025年初,吉林大学刘冰冰团队在《Nature Materials》报道六方金刚石块材制备;北京高压科学研究中心毛河光院士团队同年在《Nature》发表高纯天然石墨转化成果。
近日,郑州大学单崇新、程少博、杨西贵联合南京大学孙建,在《Nature》在线发表论文,首次实现毫米级、纯相六方金刚石的可控合成。
图|从左向右:程少博、单崇新、杨西贵、来守龙(来源:受访者提供)
“我们不仅做出样品,更揭示了调控机制:合成六方还是立方,关键在于通过单轴压力精确抑制石墨层横向滑移。”共同通讯作者、郑州大学物理学教授杨西贵表示。
抑制横向滑移,才能长出纯六方金刚石
立方金刚石为ABCABC…三层堆叠,能量最低、热力学稳定;六方金刚石为ABAB…两层堆叠,属亚稳相。陨石撞击因过程瞬态,可将其“冻结”为六方结构。
商用高温高压设备通常提供静水压,易诱发石墨层横向折皱或滑移,导致最终产物几乎全为立方相,六方结构仅以微量混相存在,难以排除缺陷干扰。
研究团队改造合成腔体,实现沿石墨c轴方向的单轴应力增强与横向压力削弱,有效抑制横向滑移。碳原子只能按ABAB…方式垂直堆叠,从而定向生成六方结构。
以高定向热解石墨为原料,在20 GPa、1300–1900℃的精准温压窗口下,成功获得直径约1.5毫米的块体六方金刚石。
四重证据闭环验证纯相结构
研究团队构建严密证据链确认材料本征属性:
一、宏观定性:同步辐射X射线衍射(XRD)在立方与六方重合峰外,精准识别出四个专属衍射峰,与理论六方结构完全吻合。
图|20 GPa、1300 °C下合成的块状六方金刚石同步辐射XRD图谱(来源:论文)
二、微观成像:球差校正透射电镜(AC-TEM)直接观测到ABAB层序堆叠及立方结构不具备的六角空心对称图案,提供原子级结构证据。
三、成分分析:电子能量损失谱(EELS)显示全部碳原子均为sp³杂化键,无sp²石墨或非晶信号,证实高纯度与化学一致性。
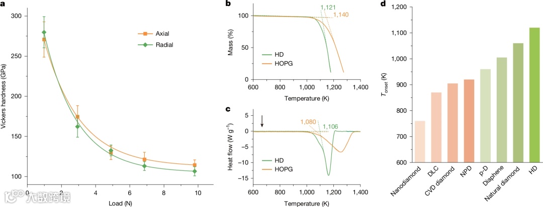
四、性能验证:维氏硬度、剪切模量与杨氏模量均显著优于天然立方金刚石,完成“结构–成分–性能”全链条闭环。
图|块状六方金刚石的机械和热性能(来源:论文)
“我们合成的是纯度极高、结构清晰的六方金刚石。审稿人评价我们‘首次提供了如此清晰的六方金刚石证据’。”杨西贵表示。
该成果历经五年攻关:首阶段完成单轴压力系统集成;第二阶段反复优化温压参数以达争议消除级纯度;第三阶段经2024年11月投稿至2026年3月刊出,历时一年半补证修改。
从“更硬的刀”到“更好的芯”
测试表明,六方金刚石硬度略高于立方金刚石,未达早期理论预测的近60%增幅。杨西贵解释:“真实晶体存在晶界、位错与微应力,制约宏观性能表现;随着纯度与尺寸提升,其力学极限仍有上升空间。”
团队下一步聚焦“做大”与“做单”:
——“做大”(5年内):将样品由毫米级拓展至厘米级,面向切削刀具、精密磨具等工业场景,开展与立方金刚石工具的寿命对比测试。
——“做单”(10年内):攻克大尺寸单晶生长技术,制备透明六方金刚石单晶,拓展至半导体散热基板、量子传感及高端珠宝领域。其优异热导率有望成为AI算力芯片理想散热底座。
“这需要科学界与产业界通力合作。十年后,六方金刚石或将成为高性能常规选项。”杨西贵展望道。
参考文献:
1. Lai, S., Yang, X., Shi, J. et al. Bulk hexagonal diamond. Nature (2026). https://doi.org/10.1038/s41586-026-10212-4
2. Yang, L., Lau, K.C., Zeng, Z. et al. Synthesis of bulk hexagonal diamond. Nature 644, 370–375 (2025). https://doi.org/10.1038/s41586-025-09343-x
3. Chen, D., Chen, G., Lv, L. et al. General approach for synthesizing hexagonal diamond by heating post-graphite phases. Nat. Mater. 24, 513–518 (2025). https://doi.org/10.1038/s41563-025-02126-9

