当年的流体力学是那么的难学,如果有人这么给我们解释,我相信,我肯定能通过考试的。现在想起来,都是满满的回忆呀。本文从实例篇、理论篇、应用篇三个方面展开,肯定让您不虚此行。
天才/学霸/大神——伯努利

伯努利(Daniel Bernouli, 1700~1782)
瑞士物理学家、数学家、医学家,出身于著名的伯努利数学家族,是其中最杰出的代表。他早年攻读哲学与逻辑并获硕士学位,后转向医学并成为外科名医和解剖学教授,最终在父兄影响下投身数理科学。其研究领域广泛,涵盖流体动力学、天文学、引力、行星轨道、磁学、海洋潮汐等,成就卓著。
实例篇——伯努利原理
丹尼尔·伯努利于1726年提出:在流体中,速度越大,压强越小;速度越小,压强越大。这一规律被称为“伯努利原理”。例如,向两张纸中间吹气时,中间空气流速加快、压强减小,而外侧空气静止、压强大,从而将纸张挤压在一起,直观体现了该原理。

1. 列车(地铁)站台的安全线
列车高速行驶时,车厢附近空气流速快、压强小,站台上的人体前后形成压强差,背后较大的压力可能将人推向列车,造成危险。因此,站台设置黄色安全线以保障乘客安全。

2. 船吸现象
1912年,“奥林匹克”号与“豪克”号相撞事故即为典型船吸案例。两船并行时,中间水流速度高于外侧,导致内侧压强降低,在外部水压作用下两船相互靠近,最终引发碰撞。“豪克”号体积较小,受力后偏移更明显,加剧了事故后果。

后续分析确认,这是伯努利原理所致。当两船并行或一前一后航行时,中间水流加速、压强下降,外侧高压推动船只靠拢,极易失控相撞。

鉴于此类事故频发,国际海事组织已制定严格航行规则,明确船舶间最小安全距离及狭窄航道避让措施。
3. 游泳
在水流湍急的江河中游泳极为危险。据测算,当水流速度达1米/秒时,人体将承受约30公斤的吸引力或排斥力,即使水性极佳者也难以应对,易被卷入险境。

4. 刮风掀翻屋顶或压垮大桥
强风经过屋顶时,上方空气流速快、压强小,下方空气近乎静止、压强大,形成向上的压力差。风速越大,压力差越显著,达到一定程度即可掀翻屋顶,正如杜甫所写:“八月秋高风怒号,卷我屋上三重茅。”

台风压塌桥梁同理:风经桥面与桥洞时因截面积不同产生流速差异,桥洞处风速更高、压强更低,上下表面的压力差可能导致结构失稳坍塌。

5. 香蕉球(弧线球)
踢出“香蕉球”时,球员击球偏心并施加旋转,使球一侧空气流速加快、另一侧减慢,形成压强差。根据伯努利原理,球受侧向压力作用而发生弧线运动,绕过人墙入网。

6. 喷雾器
喷雾器利用高速气流在小孔处形成低压区,容器内液面上方高压空气推动液体上升并通过细管喷出,被高速气流冲击成雾状。



7. 汽油发动机的化油器
化油器工作原理与喷雾器相同。空气流经狭窄喉管时流速增大、压强减小,汽油从喷嘴被吸出并雾化,与空气混合后进入汽缸。尽管现代汽车多采用电喷系统,但其基本物理原理仍基于伯努利效应。

化油器结构示意图

由于技术、利润等原因,汽车的化油器已经被电喷取代
理论篇——伯努利方程
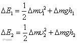
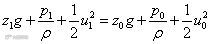
伯努利方程是理想流体稳定流动的基本方程,揭示了流体在流动过程中能量守恒关系:单位体积流体的动能、势能与压强之和为常数。其表达式为:

1. 伯努利方程的推导
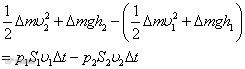
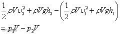
考虑理想流体在细流管中的稳定流动,忽略粘滞性。设流体密度为ρ,在截面S₁、S₂处分别具有速度υ₁、υ₂,高度h₁、h₂,压强p₁、p₂。经过Δt时间,流体段a₁a₂移动至b₁b₂,相当于将Δm质量的流体从a₁b₁转移至a₂b₂。

根据功能原理,外力做功等于机械能增量。经推导可得:






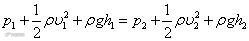
2. 同一流管的任意截面伯努利方程


含义:理想流体稳定流动时,同一流管任一截面单位体积流体的动能、势能与压强之和保持不变。
- 伯努利方程适用于黏性可忽略、不可压缩的理想流体;
- 对水、空气、酒精等低黏性流体,可近似应用;
- 在水利、造船、航空等领域有广泛应用。
需注意,该方程基于机械能守恒,实际流体因黏性摩擦导致能量损耗,应用时应引入能量损失修正项。
应用篇——伯努利方程的广泛使用
伯努利方程作为流体动力学核心理论之一,广泛应用于工程实践,其实质是流体机械能守恒:动能 + 重力势能 + 压力势能 = 常数。对于水泵系统,则表现为:速度头 + 静压头 + 位置头 = 常数。最著名推论为:等高流动时,流速越大,压强越小。
1. 翼型升力
飞机飞行时,机翼上表面弯曲、流线密集、流速快、压强小;下表面较平直、流速慢、压强大。由此产生的上下压强差形成向上的升力,使飞机得以起飞和维持飞行。


2. 离心式水泵
泵壳呈蜗壳形,汇集从叶轮抛出的高速液体,并使其沿扩大的通道流动。随着流道截面积增加,流速降低,静压升高,实现动能向静压能的转化,提高输送效率。

3. 消防炮
消防水泵为液体增压后送入消防炮,炮管流道逐渐收缩,液体流速增大、压力减小,静压能转化为动能,最终以高速射流喷出,实现远距离灭火。

4. 文丘里流量计
该装置由收缩段和扩张段组成。通过测量收缩段前后两截面的静压差及面积参数,结合伯努利方程即可计算流量。由于收缩段能量损失较小,通常依据此处数据进行计算以减少误差。

5. 虹吸现象

虹吸管

在0-0和1-1截面间列伯努利方程:





可得:


