

根据《广州市知识产权工作专项资金管理办法》(穗知规字〔2020〕2号)和《2021年广州市知识产权工作专项资金(资助资金)申报指南》的有关要求,白云区市场监管局对申报的2021年广州市知识产权工作专项资金(资助资金)项目进行了审核,经过初审、复审和局长办公会议研究,现将拟资助的2021年广州市知识产权工作专项资金(资助资金)项目名单予以公示。公示时间为2021年7月23日至7月30日。
公示期内,如有异议,请以书面方式向白云区市场监管局或广州市市场监管局反映,并提供必要的证据材料,以便核实查证。提出异议者须提供本人真实姓名、工作单位、联系电话等有效联系方式,白云区市场监管局将对异议情况严格保密,凡匿名、冒名或超出期限的异议不予受理。电话:86078391。邮箱:scjgjzscqk@by.gov.cn。通讯地址:广州市白云区远景路棠景南街21号204房,邮编:510403。
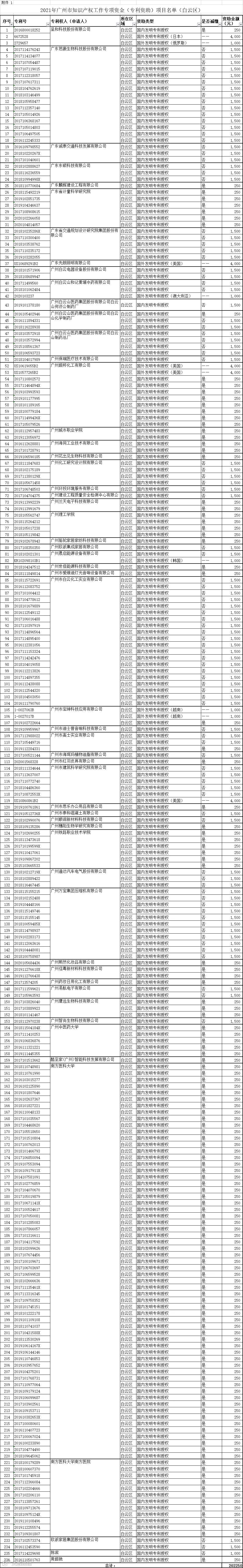
附件1.2021年广州市知识产权工作专项资金(专利资助)项目名单(白云区).xlsx
附件2.2021年广州市知识产权工作专项资金(商标资助)项目名单(白云区).xlsx
广州市白云区市场监督管理局
2021年7月23日


来源:广州市白云区市场监督管理局

扫描二维码关注我们
商标|版权/著作权|专利|项目申报|科技资质认定|信息咨询
科技项目服务热线:黄小姐15375816989
覃小姐13926112080
邮箱:2558330530@qq.om

