搜索
首页
大数快讯
大数活动
服务超市
文章专题
出海平台
流量密码
出海蓝图
产业赛道
物流仓储
跨境支付
选品策略
实操手册
报告
跨企查
百科
导航
知识体系
工具箱
更多
找货源
跨境招聘
DeepSeek
首页
>
关于2018年度上半年灵活就业社会保险补贴的公示
>
关于2018年度上半年灵活就业社会保险补贴的公示
石家庄高新发布
2018-07-27
2
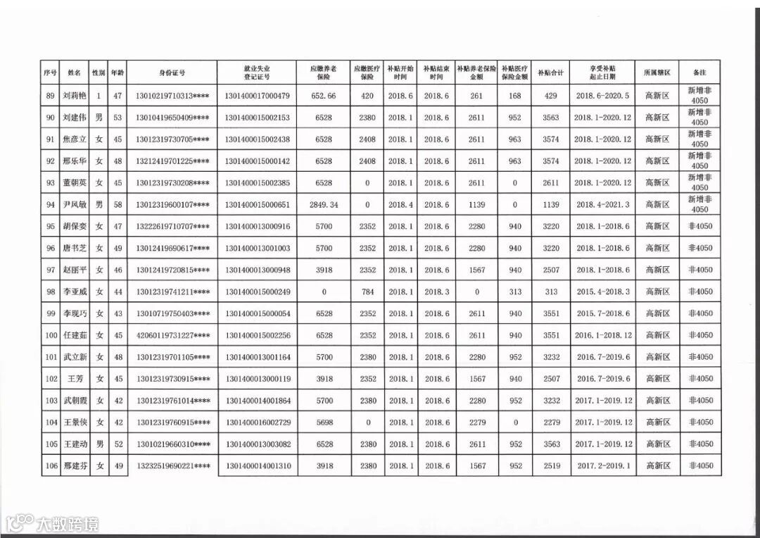
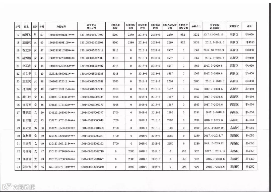
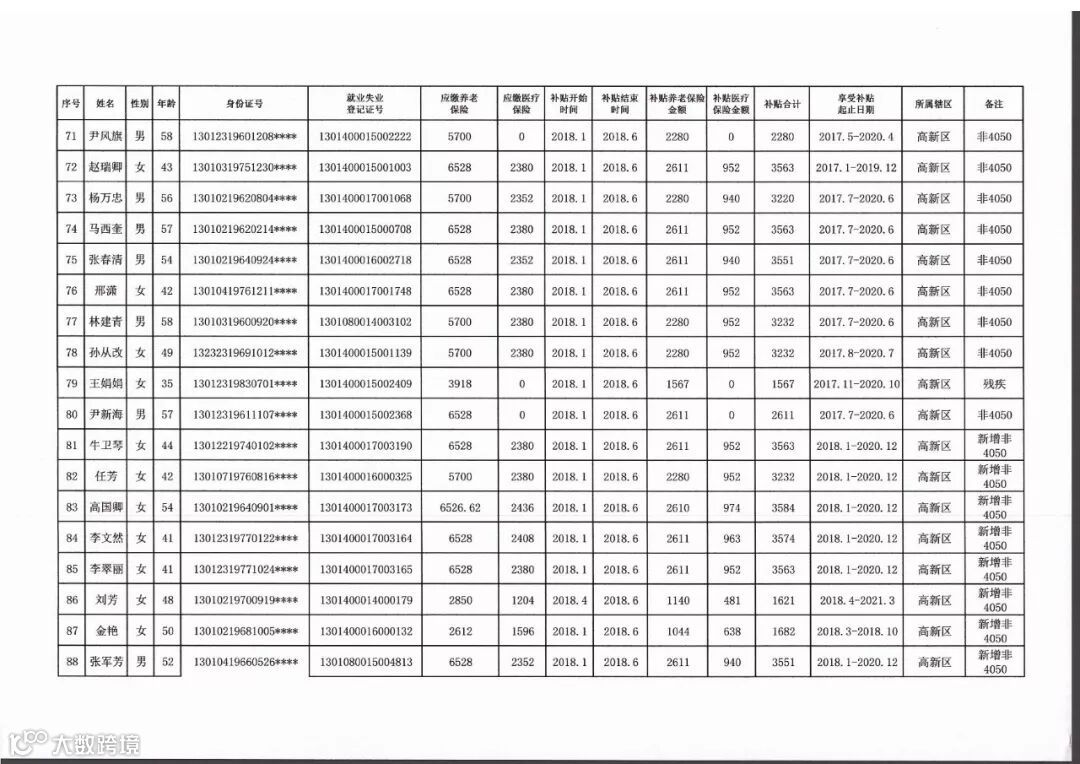
导读:以上均为图片内容。
以上均为图片内容。
【声明】内容源于网络
0
0
石家庄高新发布
“石家庄高新发布”作为石家庄高新区权威信息发布中心和辖区内企业、群众的互动平台,致力于传播石家庄高新区好声音,传递正能量,欢迎关注。
内容
8403
粉丝
0
关注
在线咨询
石家庄高新发布
“石家庄高新发布”作为石家庄高新区权威信息发布中心和辖区内企业、群众的互动平台,致力于传播石家庄高新区好声音,传递正能量,欢迎关注。
总阅读
13.8k
粉丝
0
内容
8.4k
在线咨询
关注