搜索
首页
大数快讯
大数活动
服务超市
文章专题
出海平台
流量密码
出海蓝图
产业赛道
物流仓储
跨境支付
选品策略
实操手册
报告
跨企查
百科
导航
知识体系
工具箱
更多
找货源
跨境招聘
DeepSeek
首页
>
国网石家庄供电公司园区供配电中心关于对长期不用电客户予以销户的公告
>
国网石家庄供电公司园区供配电中心关于对长期不用电客户予以销户的公告
石家庄高新发布
2026-01-19
3
导读:国网石家庄供电公司园区供配电中心关于对长期不用电客户予以销户的公告
国网
石家庄
供电公司园区供配电中心关于对长期不用电客户予以销户的公告
附件:
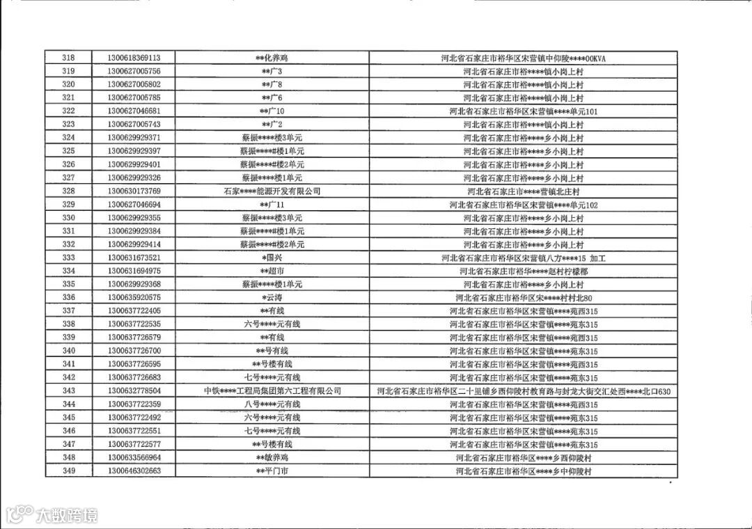
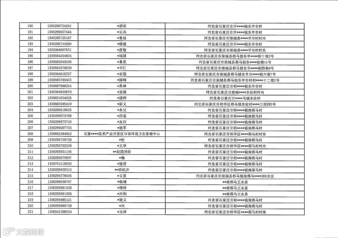
国网石家庄供电公司园区供配电中心长期不用电客户销户公示明细
来源:
国网石家庄供电公司园区供配电中心
【声明】内容源于网络
0
0
石家庄高新发布
“石家庄高新发布”作为石家庄高新区权威信息发布中心和辖区内企业、群众的互动平台,致力于传播石家庄高新区好声音,传递正能量,欢迎关注。
内容
8403
粉丝
0
关注
在线咨询
石家庄高新发布
“石家庄高新发布”作为石家庄高新区权威信息发布中心和辖区内企业、群众的互动平台,致力于传播石家庄高新区好声音,传递正能量,欢迎关注。
总阅读
16.6k
粉丝
0
内容
8.4k
在线咨询
关注