钛酸钡基铁电陶瓷具有高功率密度、高耐电强度和充放电速度快等优点,在电力电子和脉冲功率系统中具有重要应用。介质陶瓷的有效介电常数(ΔP/ΔE)和耐电强度(BDS)本征上相互制约,当前研究主要是通过降低有效介电常数,提高耐电强度或提升有效介电常数来补救储能密度的降低,制约了高功率脉冲储能器件向轻量化、小型化的发展。如何获得宽温范围内高而稳定的储能密度是高功率储能器件应用必须解决的问题。
中国科学院上海硅酸盐研究所铁电陶瓷材料与器件研究团队提出一种新的陶瓷设计策略,缓解BDS与ΔP/ΔE的相互制约,在不影响储能效率的前提下实现了储能密度提高。以钛酸锶钡(BST)为基,在A位引入Bi3+增强极化率,提高有效介电常数;同时采用两步合成粉体方法,调控离子扩散,构筑“核壳”结构晶粒,有效延长击穿路径,陶瓷耐电强度从460 kV/cm提高到550 kV/cm。ΔP/ΔE和BDS的协同提升提高了介质陶瓷的储能性能:储能密度5.92 J/cm3,储能效率81%,相关结果发表在Chemical Engineering Journal (2022)上。
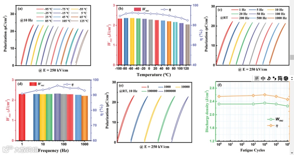
同时,介质陶瓷的储能效率和外场下储能性能稳定性在工程应用中至关重要。通过在B位引入Hf离子取代Ti离子,降低了铁电陶瓷极性纳米微区尺寸、活性、数量和相互偶极作用力,抑制了载流子跃迁,提高了材料的禁带宽度、电阻率和击穿强度,改善了BST陶瓷的介电非线性和极化滞后,极化损耗显著降低,储能效率和介电性能温度稳定性大幅提升。获得了兼具高储能密度(Wrec =5.47 J/cm3)和储能效率(η = 90.6% )无铅铁电陶瓷,该陶瓷在宽温范围 (-95-125 ℃)展现优异的储能温度稳定特性。研究成果发表在Journal of Materials Chemistry C(2022)上。
该研究工作得到了国家自然科学基金项目、中国工程物理研究院、中国科学院重点部署和国际合作项目资助。两篇文章的第一作者分别是上海硅酸盐所在读博士生黄伟和杨帆,通讯作者为陈莹高级工程师、董显林研究员、王根水研究员。
文章链接:
https://doi.org/10.1016/j.cej.2022.135523,https://doi.org/10.1039/D2TC00619G
通过核壳结构工程和组分设计突破有效介电常数与耐电强度间的矛盾,实现储能性能大幅度提升
0.93Ba0.55Sr0.39Zn0.06TiO3-0.07BiMg2/3Nb1/3O3陶瓷的(a)P-E回线(最高耐受电场下),(b)储能性能随电场的变化曲线,(c)TEM暗场像,(d)介电温谱。
BSBNTH陶瓷不同温度(3a,3b)、不同频率(3c,3d)、不同外场循环次数(3e,3f)下P-E曲线、储能密度和储能效率。
声明:上文转载自公众号“中科院上海硅酸盐所”,版权归原作者



