混合陶瓷轴承适用于润滑不良和污染严重[2-3]等恶劣工况。由于陶瓷材料本身具有更高的刚度,因此混合陶瓷轴承的赫兹接触面积略小些,与具有相同尺寸的全钢制轴承相比,会产生更大的接触应力和次表面应力。理论上,这会导致轴承的疲劳寿命缩短。然而,已经观察到在一些具体的应用场合中,混合陶瓷轴承的使用寿命更长。如何解释这种反常的现象?如何建模?本文不仅解答了这些问题,还展示了通用轴承寿命模型可以很好地模拟和解释实地观察结果。针对混合陶瓷轴承的SKF通用轴承寿命模型现已发布。
混合陶瓷轴承的套圈材料是轴承钢,滚动体材料是轴承级氮化硅 (Si3N4) (图1)。氮化硅是一种陶瓷(即非金属)材料,其特征是高硬度、高弹性模量、耐高温和耐化学腐蚀、低密度、低导电性和低延展性。由于氮化硅陶瓷材料是优异的绝缘体,混合陶瓷轴承可用在交直流电动机和发电机中,在机壳与轴之间形成有效的绝缘。与全钢制轴承相比,混合陶瓷轴承在润滑不良和存在固体污染物的条件下表现良好,不过在相同载荷下,由于陶瓷滚动体刚度更高,接触应力也更高。

图1 混合陶瓷球轴承和滚子轴承有多种尺寸段可供选择
此外,混合陶瓷轴承具有更高转速性能,并且在大多数情况下,比相同工况下的相同尺寸全钢制轴承的使用寿命更长。混合陶瓷轴承在高加速度、振动或振摆运动条件下也表现极佳。机床主轴和涡轮增压器等高速应用场合需要特殊的轴承设计、特殊材料和润滑系统。预计这一趋势将持续下去,许多其他现代工业应用场合将会认可并利用混合陶瓷轴承的独特功能。
20世纪60年代,人们首次提出使用陶瓷作为轴承材料,制造用于航空航天应用场合的耐极端温度轴承。通过部件滚动接触疲劳试验,证明了与其他陶瓷材料相比,完全致密的热压氮化硅具有最佳的滚动接触疲劳(RCF)抗性。在看似相同的陶瓷球生产批次之间也观察到了疲劳抗性的显著差异。在20世纪80年代,Lorösch等人(1980)[4]进行了混合陶瓷角接触球轴承的疲劳寿命试验。他们使用最优质的陶瓷球,发现尽管混合陶瓷轴承的接触应力增加了12%,但在相同载荷下,混合陶瓷轴承的滚动接触疲劳抗性与全钢制轴承相当。然而,对第二批次的陶瓷球的附加试验却发现其疲劳寿命较短,这表明陶瓷球的质量对于疲劳寿命性能至关重要。
在过去数年间,陶瓷滚动体的质量和可靠性大大提高。得益于无损检测(NDE)方法的引入以及氮化硅材料提纯和烧结技术的不断进步,工程师最终能够开发出具有可靠的、滚动接触疲劳抗性稳定的陶瓷球(Galbato等人,1992)[5]。正因如此,20世纪90年代,混合陶瓷轴承在高速机床主轴中的应用有了显著增长,极大地促进了这些机械部件的高速性能和精度的提升(Cundill,1993)[6]。图2显示了陶瓷疲劳强度的改善(Cundill,1990)[7],这归功于整个制造过程中热压烧结工艺的改进以及孔隙率和表面缺陷的持续减少(现在可以通过无损检测来控制)。

图2 陶瓷滚动体疲劳强度的改善[7]
试验的目的
通过回顾混合陶瓷轴承的发展历程,可以看出轴承级氮化硅材料的疲劳强度在过去的20年中取得了巨大的进步。自20世纪80年代初以来,氮化硅球的滚动接触疲劳抗性已提高了两个数量级。混合陶瓷轴承的疲劳寿命试验也明确表明,陶瓷滚动体是轴承中最可靠的部件。然而,当次表面接触疲劳是影响轴承性能的主要损坏机理时,可以观察到混合陶瓷轴承中存在的接触应力增加12%所产生的影响。图3a显示了Forster等人在相同试验条件下针对混合陶瓷轴承和全钢制轴承进行耐久试验的威布尔概率图[8]。该图表明,在重载和良好润滑条件下,次表面疲劳决定了轴承的疲劳性能。因此,与在3.1GPa应力下运行全钢制的参照轴承相比,承受高接触应力(3.5GPa)的混合陶瓷轴承在已知运行时间内失效概率增大。(*注意:考虑到如图3a威布尔图所示的10%失效率的寿命区间相互重叠,其统计学上区别不显著。)

图3a 在良好润滑条件下,分别在最大赫兹应力3.5 GPa和3.1 GPa条件下测试的混合陶瓷轴承和全钢制7208型轴承的耐久寿命[8]
图3b显示了Chiu等人[9]在相同试验条件下所做的混合陶瓷轴承和全钢制轴承耐久试验的威布尔概率图。试验在较小的载荷下进行,混合陶瓷轴承的最大赫兹接触应力为2.6GPa,全钢制轴承的最大赫兹接触应力为2.3GPa。该试验是在高温、薄油膜、滚道在润滑油被环境颗粒污染情况下跑合运行等具有挑战性的环境下进行的,以模拟真实的润滑条件。

图3b 在具有挑战性的环境中,分别在最大赫兹应力2.6GPa和2.3GPa条件下测试的混合陶瓷轴承和全钢制7208型轴承的耐久寿命[9]
通用建模方法
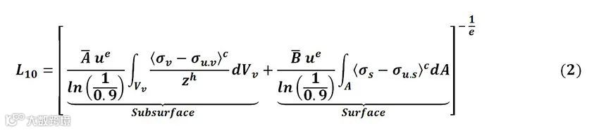
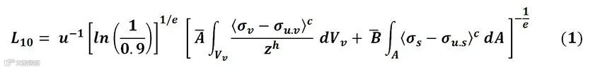
参考文献[1]中已经建立了通用寿命公式,其中表面项和次表面项是分开考虑的(图4)。注意,轴承的转数寿命L可以通过关系式L=N/u与载荷循环次数N建立关系,其中u是每次转动时发生的载荷循环次数。
在轴承寿命计算中,采用威布尔统计的标准化斜率,我们可以设定指数e。L10是轴承寿命的失效率为10%,意味着90%轴承不会失效,即S=0.9,寿命公式可以写成公式(1):
公式(1)代表通用轴承寿命模型的基础,该模型明确地将表面累积损伤与次表面疲劳分开考虑。公式(1)中由体积积分表示的次表面项,可以使用参考文献[1]中的滚动接触疲劳方法来求解。
然而,公式(1)中由面积积分表示的表面项必须以完全不同的方式进行量化。其估算需要考虑在各种工况下可能发生轴承上的实际应力对滚道表面的损伤。
这项任务十分复杂,但它提供了在混合陶瓷轴承的额定寿命估算中始终考虑摩擦学现象的可能性,这些摩擦学现象表征了参考文献[2]中描述的陶瓷与钢滚道接触的性能和耐久性特征。

图4 通用轴承寿命模型提出将表面和次表面分开考虑
陶瓷与钢接触面的表面疲劳
可以将公式(1)改写为公式(2),从而清楚地表示将滚道表面对轴承寿命的影响分开考虑。

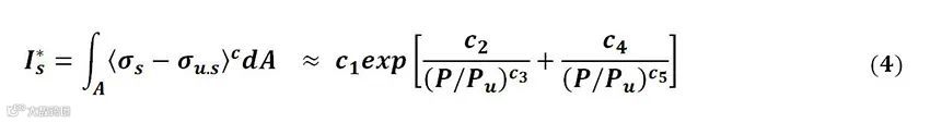
如果已知轴承尺寸,可以去除常数项,公式(2)的表面疲劳损伤是滚动碾压通过滚动接触面时滚道表面所承受的应力综合影响的直接函数:公式(3)。

公式(3)中表面损伤积分的估算可以通过对滚道承受的由轴承各种工况引起的表面应力积分来实现。
在当前的公式中,表面应力和损伤累积可以使用弹性流体动力润滑的滚动与滑动粗糙接触的高级表面应力模型进行计算,即微弹流润滑模型(参见Morales-Espejel等人的文献)[10]。这种方法还可以处理边界润滑条件和表面存在压痕的情况,它需要使用滚道粗糙度的3D区域样本(包括压痕微观几何形状)来实现(图5)。
对于通用轴承额定寿命计算来说,采用基于微弹流润滑模型的高级表面应力分析可能是一种耗时长、不切实际的做法。因此,SKF进行了参数化研究,以导出简化的解析方程式,从而允许在轴承应用场合的已知运行条件下快速估算混合陶瓷轴承的表面疲劳损伤。对于该参数化研究,通过对轴承滚道进行3D光学干涉测量,收集了多个表面形貌(图5)。

图5 用于表面疲劳应力损伤评估的高级微弹流润滑模型示意流程图
为撰写此文,收集了大约100个深沟球、角接触球和圆柱滚子等混合陶瓷轴承的滚道样本。样本在清洁和污染的润滑条件等不同环境下进行了测试。
利用收集到的表面微观形貌,进行了多次陶瓷与钢混合接触表面疲劳应力积分的数值模拟。考虑到压痕形貌和局部表面拉力的存在,数值模拟中加入了润滑剂污染的影响。在数值模拟中,通过对不同润滑油膜厚度下滚动接触的瞬态微弹流润滑模拟,来对轴承润滑条件进行建模。
混合陶瓷轴承表面应力积分参数化研究的数值结果表明,使用解析方程式进行量化计算是可行的。研究发现所有数值结果都可以通过指数函数得到很好地拟合。实际上,这个函数取决于两个主要参数:滚动接触的相对载荷Pr = P/Pu 和轴承应用的环境润滑系数ηenv = ηlub ∙ ηcont ,见公式(4):

公式(4)中c1⋯cn项取决于应用的环境条件(ηenv),可以直接由轴承应用中使用的润滑系数(ηlub)和污染系数(ηcont)获得。

图6 混合陶瓷轴承表面应力指数是以载荷和润滑环境为自变量的函数
模型的应用
通用轴承寿命模型公式(4)可用于描述前面讨论过的Forster[8]和Chiu[9]的耐久试验数据。
这些试验是针对型号7208的角接触球轴承进行的。共测试了40个混合陶瓷轴承,其中12个失效。全钢制轴承则测试了32个,其中21个失效。测试样本的几何尺寸以及耐久试验中相关的载荷和应力条件如表1所示。

表1 型号7208的混合陶瓷轴承和全钢制角接触球轴承的几何尺寸及试验载荷
两组试验之间的主要差异与试验的载荷条件和润滑环境有关。在Forster耐久试验中,载荷更大,导致混合陶瓷轴承的赫兹接触应力达到3.5 GPa。油润滑循环系统具有良好的过滤能力。此外,润滑条件良好,其kappa值约为2.5。与润滑条件相关的通用轴承寿命模型环境系数则为ηenv=0.85。这导致表面应力指数较低。实际上,在给定的运行条件下,次表面疲劳在滚动接触性能中占主导作用。因此,Forster试验运行条件对7208全钢制轴承更有利,这种轴承在3.1GPa的较低赫兹应力下运行,因此每个滚动碾压周期产生的疲劳损伤较轻一些。
在Chiu的耐久试验中,施加的载荷大幅降低,对应的混合陶瓷轴承的最大赫兹应力为2.6GPa。试验的运行温度较高(150℃),导致润滑条件对该轴承不太有利。此外,试验是在引入滚道缺陷的情况下进行的,以模拟多种轴承应用场合遇到的典型污染条件。让轴承在含有浓度为2.5ppm的20µm大小氧化铝颗粒的润滑油中跑合15分钟。在这种情况下,所对应的通用轴承寿命模型环境系数较低,即ηenv=0.035。
就Chiu的耐久试验而言,在给定的载荷和环境条件下,表面疲劳强度的作用决定了轴承的寿命。换句话说,由于表面应力指数很高,因此表面疲劳将决定轴承的疲劳性能。在该试验中,专为混合陶瓷轴承研发的表面应力指数将有利于混合陶瓷轴承的疲劳性能,从而抵消了陶瓷与钢接触面上较高的赫兹应力(2.6GPa)的影响。

图7a 在良好润滑条件下,分别在最大赫兹应力3.5GPa和3.1GPa下测试的混合陶瓷和全钢制7208型轴承的计算以及测试耐久寿命[8]
将上面讨论的混合陶瓷轴承耐久试验的运行条件导入到一个特定的轴承寿命计算程序,根据公式(4)获得了通用轴承寿命模型。全钢制7208型轴承的寿命也使用Morales-Espejel文献[1]中讨论的相同通用轴承寿命模型进行计算。在图7a和7b的威布尔图中给出了对应于不同试验和轴承类型的10%失效率疲劳寿命的计算结果。根据相应轴承型号预测的耐久寿命(以百万转为单位)在图中以细垂直线标出。
与Forster试验结果相关的通用轴承寿命模型结果如图7a所示。该图显示混合陶瓷和全钢制轴承的预测疲劳寿命位于耐久试验结果的10%失效率的90%可靠性区间的下限附近。这意味着Forster的耐久试验验证了通用轴承寿命模型的结果,具有很高的统计学意义。

图7b 在具有挑战性的润滑环境中,分别在最大赫兹应力2.6GPa和2.3GPa下测试的混合陶瓷和全钢制7208型轴承的测试耐久寿命[9]
与Chiu的耐久试验相关的模型结果如图7b所示。在这种情况下,预测的统计学意义较低。这可能是由于混合陶瓷轴承的失效数量较少,以及一个早期失效的轴承影响了全钢制轴承的试验结果。然而,通用轴承寿命模型计算的轴承耐久性结果均远低于试验寿命L10 和L15 ,并且与试验观察结果完全一致。实际上,该模型能够清楚地表明,尽管在试验期间混合陶瓷轴承中存在较高的接触应力,但该轴承的滚动接触疲劳寿命明显延长。
总结和结论
由于滚动轴承陶瓷材料在质量方面取得了极大进展,使得混合陶瓷轴承在润滑不良和重污染的恶劣摩擦条件下变得可靠且性能优良。因此,现在能够可靠地预测这类轴承的额定寿命。SKF通用轴承寿命模型(GBLM)分开考虑表面和次表面接触疲劳,现已用于计算混合陶瓷轴承的额定寿命。SKF为此开发了专门的模型和计算工具。为了进行验证,该模型已应用在两组已发布的耐久试验中,试验结果与直觉相反。在良好润滑、清洁和重载的条件下,混合陶瓷轴承的性能低于对应的全钢制轴承,而在载荷相对较轻,但润滑不良,污染严重的条件下,混合陶瓷轴承表现出优异的性能。只有通用轴承寿命这种将表面疲劳与次表面疲劳分开考虑的模型才能够模拟出这些结果。
-
混合陶瓷轴承滚动接触疲劳的评估不但要考虑对混合陶瓷轴承不利的次表面疲劳,还要考虑对混合陶瓷轴承更为有利的表面疲劳。
-
SKF通用轴承寿命模型将表面和次表面疲劳分开考虑,从而可权衡两种疲劳损伤机理,并清楚地描述混合陶瓷轴承的滚动接触疲劳性能。
-
SKF已在计算机工具中开发并应用了通用轴承寿命模型对混合陶瓷轴承进行额定寿命计算。因此,客户现在可以充分利用混合陶瓷轴承的优势进行选型。
参考文献
[1] Morales-Espejel, G.E., Gabelli, A. A Major Step Forward in Life Modelling, SKF Evolution #4, 2015, pp. 21-27.
[2] Vieillard, C., Brizmer, V., Kadin, Y., Morales-Espejel, G.E., Gabelli, A., Benefits of Hybrid Bearings in Severe Conditions, SKF Evolution #3, 2017, pp. 21-26.
[3] Morales-Espejel, G.E., Hauleitner, R., Wallin, H. H., Pure Refrigerant Lubrication Technology in Oil Free Centrifugal Compressors, SKF Evolution #1, 2017, pp. 26-30.
[4] Lorösch, H.K., Vay, J., Weigand, R., Gugel, E., Kessel, H., (1980). Fatigue Strength of silicon nitride for high-speed rolling bearings, Transactions of ASME, J. of Engineering for Power, vol. 102, 128-131.
[5] Galbato, A.T., Cundill, R.T., Harris, T.A., (1992). Fatigue Life of Silicon Nitride Balls, Lubrication Eng. 48 (11), 886–894.
[6] Cundill, R.T., (1993). High precision silicon nitride balls for bearings, Ball Bearing Journal, 241, pp. 26-32.
[7] Cundill, R.T. (1990). Material selection and quality for ceramic rolling elements, Proc. of Mech. Eng. Seminar, Rolling Element Bearings – Towards the 21st Century, pp. 31-40.
[8] Forster, N. H., Peters, S. M., Chin, H. A., Poplawski, J. V., and Homan, R. J., (2017). Applying Finite Element Analysis to Determine the Subsurface Stress and Temperature Gradient in Highly Loaded Bearing Contacts, Bearing Steel Technologies: 11th Volume, ASTM STP1600, J. M. Beswick, Ed., ASTM, West Conshohocken, PA, pp. 151–166.
[9] Chiu, Y. P., Pearson, P. K., Dezzani, M. and Daverio, H., (1996). Fatigue Life and Performance Testing of Hybrid Ceramic Ball Bearings, Lube Eng. 52, 3, 198-204.
[10] Morales-Espejel, G.E. and Brizmer V, (2011). Micropitting modelling in rolling-sliding contacts: application to rolling bearings, Tribol. Trans. 54 625–643.
本文来源于公众号“轴承杂志社”
版权归原作者所有
ABOUT CERADIR
「CERADIR™先进陶瓷在线」——先进陶瓷行业垂直化服务平台,致力于为用户提供一站式 B2B 解决方案,专业服务全球先进陶瓷供应链上下游工厂、贸易商、服务商而自主开发的B2B行业平台,吸引全球供应商和采购商入驻。


