早!今天小编和大家分享一篇今年6月发表在Aging杂志的文章Identification of differentially expressed genes-related prognostic risk model for survival prediction in breast carcinoma patients,作者通过分析乳腺癌差异表达基因,构建预后风险模型。
摘 要
由于基因表达失衡已被证明与乳腺癌(BRCA)的发生和生长密切相关,因此作者筛选了BRCA中表达的共同基因,以探索二者之间的本质。首先寻找BRCA各亚型中最常见的差异表达基因,功能富集分析揭示了细胞周期失活和卵母细胞减数分裂的驱动因素,这是BRCA发生的关键因素。在此,作者构建了一个与差异基因表达相关的12基因预后风险模型。随后,通过KM曲线、时间-ROC曲线分析和Cox回归来评估该风险模型,确定各自的预测值,并确定训练队列和验证队列的预测性能。此外,多因素Cox回归分析揭示了危险评分与预后分期之间的独立性,将临床指标纳入分析后,预后的准确性和敏感度明显提高。综上所述,这项研究为BRCA内基因表达的不平衡提供了新的见解,并突出了12个与患者预后相关的选定基因。风险模型可以帮助针对不同风险的患者进行个性化治疗,并为BRCA治疗提出精确的策略和治疗方案。
研究思路
研究结果
1.BRCA 中 DEG 的鉴定
作者从GEO数据库选定了5个乳腺癌数据集,共鉴定151个差异表达基因,其中61个上调基因,90个下调基因。分层聚类热图显示了151个DEG的表达情况,红色部分表示高表达基因,绿色部分为低表达基因。
2.DEGs的功能富集分析和PPI网络构建
使用 GO 和 KEGG 通路分析进一步研究了 151 个DEG 的生物学作用。GO分析有3个功能类别:1)在生物过程方面,上调的DEG仅富集核分裂和细胞器裂变,而下调的DEG富集肽激素和平滑肌细胞增殖;2)在细胞成分方面,上调的DEGs涉及纺锤体、浓缩染色体和纺锤体极,而下调的DEGs涉及含胶原的细胞外基质、脂滴和基底膜;3)在分子功能方面,微管运动和结合活性与上调的DEG显著相关,而下调的仅参与整合素和生长因子以及糖胺聚糖的结合。此外,KEGG 通路分析证明了大多数上调基因在细胞周期和卵母细胞减数分裂中的参与作用。相比之下,下调基因仅参与 PPAR 信号通路和酪氨酸代谢。热图显示了 DEGs 与富集的 KEGG 通路之间的关系。最后,DEG 的 PPI 网络中有 151 个节点和 1169 个边,最高程度确定为 48。
3.通过 cox 回归创建和验证 OS 相关的预后风险特征
在单变量 Cox 回归分析中,TCGA-BRCA 队列中有 31 个与 OS 相关的基因。此外,使用多变量 cox 回归确定了与 OS 相关的显着 DEG,其中 12 个基因可作为 BRCA 患者的潜在预后预测因子。相关分析表明 12 个选定的基因是交叉相互作用的。PPI 结果表明 12 个选定基因中的大多数是显著相关的。随后,在 Kaplan Meier集中评估生存条件,表明所有选定的基因都包含在预后风险模型中,具有生存预测性能。
最后,多变量Cox回归建立预后风险模型,运用模型将患者分为高危组或低危组,使用 Kaplan-Meier 生存分析,高风险患者的 OS低于低风险患者。用GSE20685 ( n = 327) 和GSE48390 ( n = 81) 数据集对风险模型进行验证。
4. DEGs相关风险模型与临床病理变量的相关性分析
进行单变量和多变量 Cox 回归,以确定 DEG 相关风险模型在预测预后中的作用。单变量Cox回归显示生存预测有6个危险因素,包括高龄、病理分期、PAM50分子亚型、肿瘤大小、淋巴结转移和DEGs相关模型评估的风险评分。此外,多变量Cox回归分析显示BRCA患者的OS与上述6个因素,尤其是风险评分高度一致。总之,这些 Cox 回归结果证明了风险评分在预测预后方面的功能和贡献,不受肿瘤临床病理特征的限制。列线图预测 5 年和 10 年 OS 的概率,校准曲线和ROC分析证明了实际和预测的生存性能的良好一致性。
为了验证 DEG 相关风险特征对 BRCA 恶性程度的影响,研究将风险模型与临床病理变量相结合,发现在 HER2 亚型和 luminal B 亚型、临床分期较晚、肿瘤体积较大和淋巴结转移情况下,风险评分显著增加,证实了风险评分与预后结果之间的良好一致性。
5. GSEA在预测差异风险患者中的作用机制探索
通过比较低危组和高危组的患者,探讨 GSEA 在不同风险患者之间的功能差异。结果显示高危患者与细胞周期、TCA 周期和氧化磷酸化呈正相关。同时,低危患者与基底细胞癌、Hedgehog 信号通路和 JAK-STAT 信号通路呈负相关。
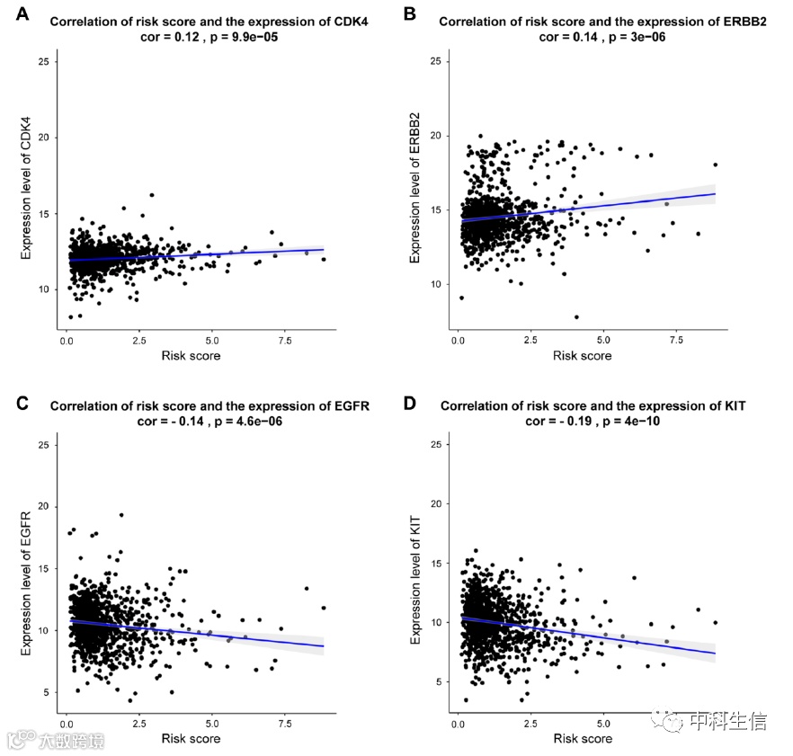
6.风险评分预测 BRCA 患者的靶向治疗
经Pearson相关分析,DEGS相关风险评分与CDK4、ERBB2、EGFR和KIT表达密切相关。总而言之,DEGS相关风险评分较高的患者对CDK4和ERBB2靶向治疗表现出良好的疗效。另外,风险评分越低,患者对EGFR和KIT靶向治疗的反应越好。
7. qRT-PCR验证BRCA标本与邻近乳腺组织中12种预测基因的表达
为了避免假阳性结果,根据20例BRCA患者冰冻组织的qRT-PCR结果进一步验证了12种mRNA的表达。实验结果表明,ANLN、KIF4A、MELK、NDC80、NEK2、TOP2A、TTK和UBE2T在BRCA组织中的mRNA表达较癌旁组织上调,而FREM1和SORBS1的mRNA表达在BRCA组织中较癌旁组织下调。这些验证结果与TCGA-BRCA数据库基本一致,表明这些预后基因在乳腺癌的初始和发展阶段中发挥了关键作用。
致力于提供“一站式”科研服务

