早上好呀,今天要给大家分享一篇2020年发表在Bone Joint Res杂志上的文献,题目为《An integrated analysis of the competing endogenous RNA network and co-expression network revealed seven hub long non-coding RNAs in osteoarthritis》IF:5.853。
2021 & AUTUMN
对竞争性内源性 RNA 网络和共表达网络的综合分析揭示了骨关节炎中的七个中枢长非编码 RNA。
摘要
目的
本研究旨在通过对竞争性内源性 RNA (ceRNA) 网络和共表达网络的综合分析,揭示骨关节炎 (OA) 软骨中差异表达的中枢长非编码 RNA (lncRNA)。
方法
从基因表达综合(GEO)数据库(GSE114007)获得人类膝关节软骨的十种OA和十种正常组织的表达谱数据。使用edgeR包鉴定差异表达的mRNA(DEmRNA)和lncRNA(DElncRNA)。我们将人类 miRNA-lncRNA/mRNA 相互作用与 DElncRNA/DEmRNA 表达谱整合以构建 ceRNA 网络。同样,lncRNA 和 mRNA 表达谱用于构建与 WGCNA 包的共表达网络。基于对 ceRNA 网络和共表达网络的综合分析,确定了潜在的中枢 lncRNA。StarBase 和多实验矩阵数据库用于验证 lncRNA。
结果
我们在 OA 和正常膝关节软骨中检测到 1212 个 DEmRNA 和 49 个 DElncRNA。在ceRNA网络中总共获得了75个失调的lncRNA-miRNA相互作用和711个失调的miRNA-mRNA相互作用,包括10个DElncRNA、69个miRNA和72个DEmRNA。同样,1330 个失调的 lncRNA-mRNA 相互作用被用于构建共表达网络,其中包括 10 个 lncRNA 和 407 个 mRNA。我们最终确定了七个中枢 lncRNA,命名为 MIR210HG、HCP5、LINC00313、LINC00654、LINC00839、TBC1D3P1-DHX40P1 和 ISM1-AS1。随后的富集分析阐明,这些 lncRNA 调节细胞外基质组织,并在 OA 的发展过程中富集破骨细胞分化、FoxO 信号通路和肿瘤坏死因子 (TNF) 信号通路。
结论
ceRNA 网络和共表达网络的综合分析确定了七个与 OA 相关的中枢 lncRNA。这些 lncRNA 可能调节 OA 进展中的细胞外基质变化和软骨细胞稳态。
结果
数据收集和预处理
人类膝关节软骨的总 RNA-seq 数据集来自基因表达综合 (GEO) 数据库 ( GSE114007 )。在进行差异表达分析之前,我们进行了主成分分析(PCA)。正常和 OA 关节软骨样本中基因表达的 PCA 图显示样本按表型的聚类(图1)。
图1
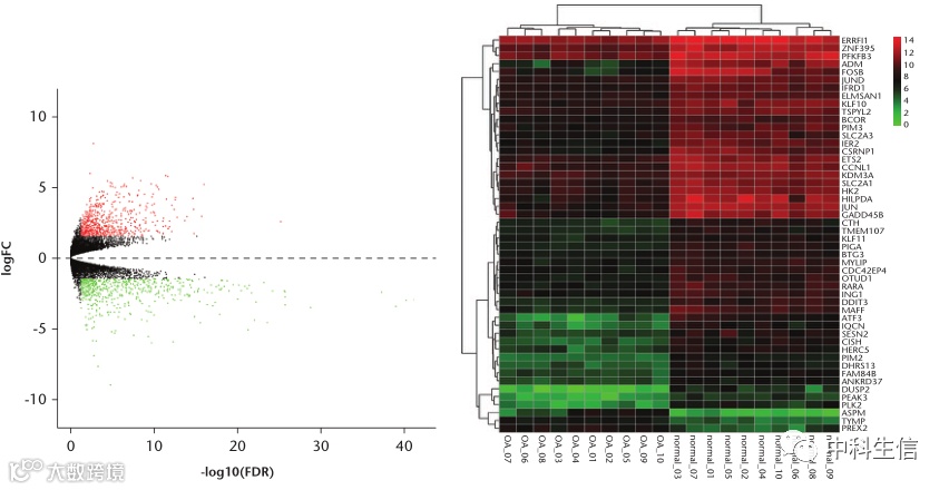
骨关节炎和正常膝关节样本中的 DElncRNA
在骨关节炎 (OA) 组织和膝关节软骨的正常组织中差异表达的长链非编码 RNA (DElncRNA)(图2)。a) DElncRNA的火山图;b) DElncRNA 的热图;c) 长链非编码 RNA (lncRNA) 分类。
图2
骨关节炎和正常标本中的DEmRNAs
共识别出1212个DEmRNAs(642个上调,570个下调)。图3a描绘了相关DEmRNA的火山图。图3b显示了前50个DEmRNA的热图。
图3
ceRNA网络构建
图4a)基于DElncRNAs和DEmRNAs的竞争内源RNA(CeRNA)网络;图4b)基于中枢长非编码RNA(LncRNAs)和重要信使RNA(MRNAs)的子网络。
图4
共表达网络最优软阈值功率的识别。
图5a无标度拟合指数和图5b平均连接性表明选择β=8来建立长的非编码RNA(LncRNA)-信使RNA(mRNA)相互作用。
图5
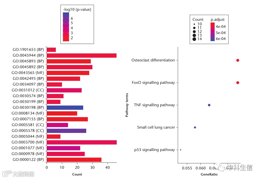
功能富集分析
Hub长非编码RNA(LncRNAs)差异表达靶信使RNA(MRNAs)的功能和途径富集分析。图6a)条形图显示显著丰富的功能;图6b)散点图显示显著丰富的前五条途径。
图6
结论
总之,对CERNA网络和共表达网络的综合分析确定了7个与OA相关的中枢LncRNA。这些lncRNA可能在OA的发生发展过程中调节细胞外基质的变化和软骨细胞的稳态。
完
长按二维码关注我

