摘要
前段时间小编推送过细胞焦亡的生信套路,短短的几个月时间已有多篇细胞焦亡相关文章见刊,小编以“Pyroptosis”和“Prognosis”作为关键词在Pubmed上检索相关文章,仅2021年就有50多个搜索结果,虽然数目不一定100%准确,但细胞焦亡的生信文章已卷的事实可见一斑。
那么如果我还想做细胞焦亡相关生信分析,有没有什么新的思路可以借鉴呢?这不今天小编就挖掘了一篇通过细胞焦亡相关lncRNA构建预后风险模型的文章,作为ceRNA网络中重要的一环,今天就让我们瞧瞧lncRNA这名“老将”是怎么焕发第二春的。
背景&方法
背景:细胞焦亡是一种以细胞膜破裂和炎症物质释放为特征的程序性细胞死亡,在癌症的发生和发展中起着重要作用。与细胞焦亡相关的 lncRNA 的预后价值及其与肿瘤微环境 (TME) 的关系尚不清楚。
方法:TCGA数据库下载BC患者表达数据,区分mRNA和lncRNA,将样品随机分成训练集和测试集(2:1),与细胞焦亡相关基因计算相关性(Cor>0.3&p.adj<0.05)筛选细胞焦亡相关lncRNA,单因素Cox→多因素Cox构建预后风险模型将训练集分成高低风险组,最后在验证集及免疫浸润等方面验证分组间差异。
结果
TCGA数据库BC患者临床信息
筛选预后细胞焦亡相关特征lncRNA
基于训练集中的单变量Cox回归分析鉴定了230个预后lncRNA,并根据lncRNA与焦生相关基因之间的共表达关系,将824个lncRNA鉴定为与焦化病相关的lncRNA。如图A所示,28个lncRNA是与细胞焦亡相关的lncRNA和预后lncRNA重叠的lncRNA。这些lncRNA不仅与BC患者的预后显着相关,而且与细胞焦亡性显着相关(图B,C)。最后,基于最低的AIC鉴定了9个最佳lncRNA(OIP5-AS1,Z68871.1,LINC01301,AC103858.2,AC005034.5,LINC01871,AL606834.2,TNFRSF14-AS1和TBC1D8-AS1)。
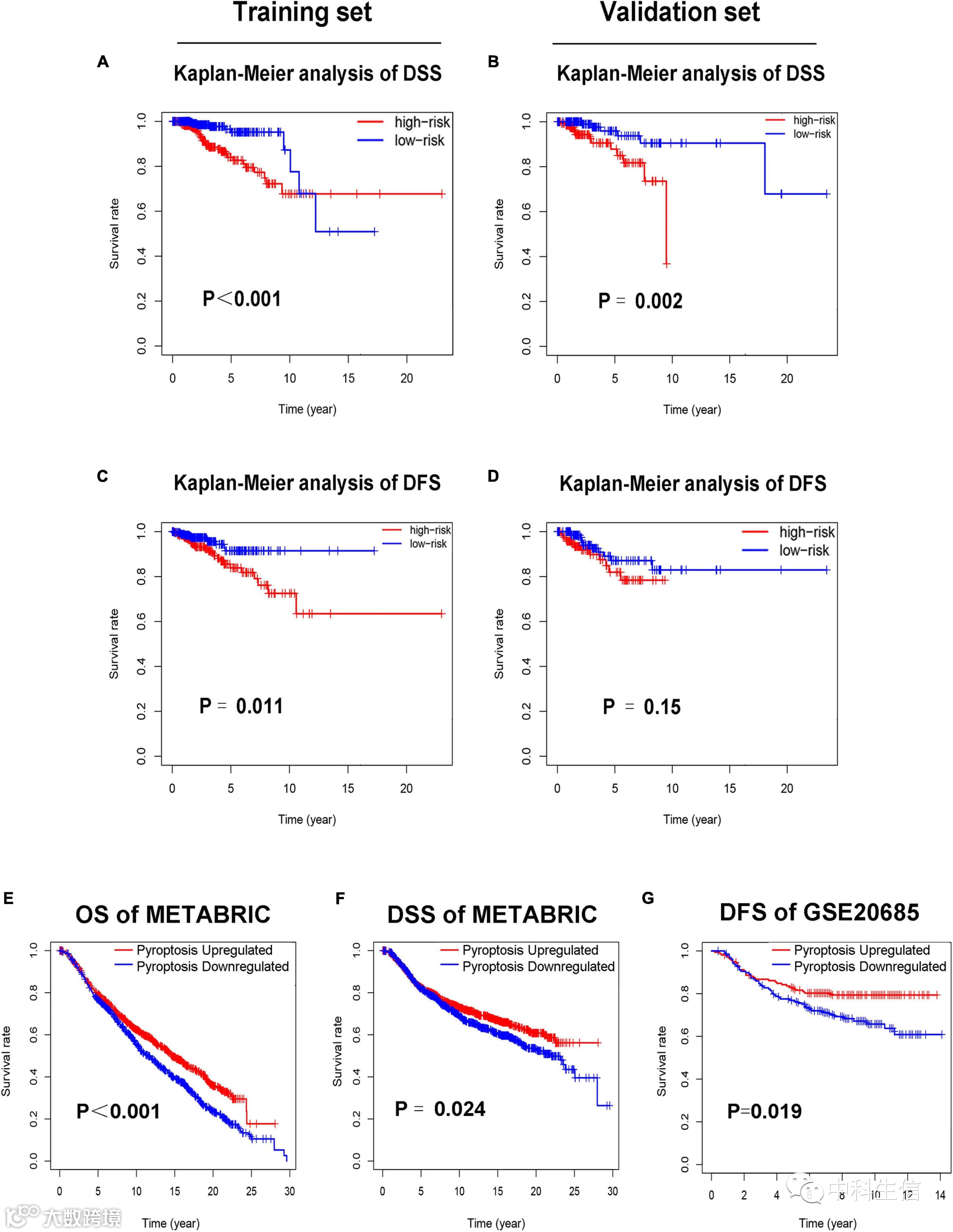
训练集中的每位患者都根据上述公式获得风险评分。然后,根据风险评分的中位值将患者分为高风险组(n = 309)和低风险组(n =309)。风险评分与BC患者的T分期和免疫组织化学(IHC)亚型显著相关(表 2)。如图3C所示,在训练组中具有高风险评分的BC患者往往更早死亡。Kaplan-Meier分析的结果表明,高风险组的BRCA患者的OS较短(图E)。我们还分析了这两组患者的疾病特异性生存期(DSS)和无病生存期(DFS),结果显示,高危组BC患者的DSS和DFS比低危组患者短(图A,C)。低风险组的5年DFS率高于高风险组(91.5% vs 83.8%)。低风险组的5年DSS率也较高(95.2%对84.1%)。
为了验证与细胞焦亡相关的 特征lncRNA 的准确性,验证集中的每位患者根据与训练集相同的公式获得了风险评分。然后,根据与训练集相同的阈值,将这些患者分为低风险组(n = 174)和高风险组(n = 145)。与训练集一致,具有高风险评分的BC患者倾向于在验证集中更早死亡(图D)。Kaplan-Meier分析的结果表明,高危组BRCA患者的预后较差(图F,B,D)。
脓毒症通路的激活水平与BRCA患者的预后相关
为了进一步证实脓毒症患者与BC患者预后的关系,采用ssGSEA评估了METABRIC和GSE20685数据库BC患者中脓疱病通路的激活水平。METABRIC和GSE20685数据库中的每位患者都获得了基于ssGSEA的焦亡通路评分。根据脓毒症通路评分的中位值,将METABRIC或 GSE20685 数据库中的患者分为上调组和脓毒下调组。然后,在METABRIC数据库中分析了OS和DSS,在GSE20685数据库中分析了DFS。Kaplan-Meier分析的结果表明,焦变上调组的BC患者的OS,DSS和DFS更长(图E-G)。
评估细胞焦亡相关lncRNA的独立预后价值
利用单变量 Cox 回归分析和多变量 Cox 回归分析,探讨 BC患者相关性 lncRNA 特征的独立预后价值。如图A,B所示,风险评分是训练集和验证集中OS的预后指标。 在多变量Cox回归分析中包括其他混杂因素后,风险评分仍然是OS的独立预后指标(图C,D)。
高低风险组BC患者的TME差异
为了研究热凋亡相关的lncRNA与肿瘤免疫微环境(TME)之间的关系,采用CIBERSORT算法计算BC患者中每种肿瘤浸润免疫细胞的比例。结果表明,低危组和高危组之间不同肿瘤浸润免疫细胞的比例差异有统计学意义(图A)。如图B所示,肿瘤浸润B细胞、CD8+T细胞、浆细胞和活化NK细胞的比例在高危患者中显著降低。然而,肿瘤浸润性M2巨噬细胞和肥大细胞的比例在高危患者中显著较高。然后,比较两组之间免疫检查点分子的差异。如图C–H所示,低风险组PD1、PDL1、CTLA4、LAG3、BTLA和TIGIT的表达水平要高得多。还比较了高危组和低危组细胞因子表达水平的差异。
不同治疗方法的BRCA患者与细胞焦亡相关lncRNA的预后差异
然后,作者探索了接受不同治疗方案的BC患者中与焦变相关的lncRNA特征的预后价值。在接受化疗的BC患者中,基于脓毒相关的lncRNA特征的高危组患者的预后明显较差(图A)。在接受内分泌治疗的BC患者中,高危组患者的预后也较差(图C)。还分析了接受抗HER2治疗的患者中与焦沉着相关的lncRNA特征的预后价值,但低危和高危患者的预后差异无显着差异(图E)。为了进一步探讨肝炎相关性lncRNA特征在不同化疗方案患者中的价值,分别分析了蒽环类、环磷酰胺或紫杉醇治疗患者的预后。结果显示,在接受蒽环类药物、环磷酰胺或紫杉醇治疗的患者中,高危组患者的预后较差(图B,D,F)。
细胞焦亡相关lncRNA独立预后因素评估
为了给BC患者提供稳定准确的预测模型,纳入临床特征和风险评分,构建列线图(图A)。通过ROC曲线分析评估了列线图的预测精度(图11B,C)。然后,通过ROC曲线分析比较列线图和传统预后指标(如年龄,AJCC分期和IHC亚型)的预测值。如图D,E所示,在训练集和验证集中,列线图的AUC明显高于传统预后指标。
写在最后
以上就是小编对于这篇文章的介绍,中科生信致力于生信个性化分析新模式,专注于服务医学科研用户,按需定制对应服务,如果您对这篇文章感兴趣或是想了解其他方向的生信内容的话,欢迎长按下方二维码联系我们!
微信公众号
中科生信
新浪微博
@中科生信

