早!今天小编和大家分享一篇今年9月发表在frontiers in Cell and Developmental Biology杂志的文章(IF:6.684) 《A Novel Pyroptosis-Associated Long Non-coding RNA Signature Predicts Prognosis and Tumor Immune Microenvironment of Patients With Breast Cancer》,作者将生信研究是两个热点:细胞焦亡和lncRNA结合了起来,构建乳腺癌风险模型并分析了TME。文章纯生信,能发到6+,研究思路值得我们借鉴。下面大家就跟随小编一起来看看吧!
摘 要
乳腺癌(BC)是世界上最常见的恶性肿瘤,是一种异质性很强的肿瘤,即使是相同分子类型和临床特征的患者预后不同,对化疗或免疫治疗的反应也不同。细胞焦亡是由gasdermins (GSDMs)介导的程序性细胞死亡的炎症形式。炎症小体激活 caspase-1/4/5/11 裂解 GSDM,裂解的 GSDM 被转运至细胞膜形成细胞孔,导致细胞肿胀和死亡。另一方面,免疫细胞杀死癌细胞的部分机制取决于诱导细胞焦亡。已经证明,BC 中的肿瘤浸润淋巴细胞 (TIL) 通常较差,这使得大多数 BC 被称为“冷”肿瘤,由于细胞焦亡与抗肿瘤免疫之间存在密切关系,探索细胞焦亡在 BC 中的作用以及与细胞焦亡相关的分子将有助于我们研究将“冷”BC 转变为“热”BC 的策略。长链非编码 RNA (lncRNA) 是不参与蛋白质编码但参与重要调控过程的 RNA,如基因组印记、染色质修饰、转录激活、转录干扰和核内转运,这些过程涉及蛋白质的发育和BC 的转移。同时,lncRNAs也可以在介导细胞焦亡中发挥重要作用。然而,关注 BC 中与细胞焦亡相关的 lncRNA 的研究有限。BC 中焦亡相关 lncRNA 的预后价值及其与 TME 的关系尚不清楚。
因此,本研究旨在鉴定与 BC 细胞焦亡相关的 lncRNA,阐明与细胞焦亡相关的 lncRNA 在 BC 的 TME 和预后中的作用,这不仅为了解 BC 细胞焦亡的分子和信号通路提供了重要的见解,对将免疫学上“冷”肿瘤 转化为“热”肿瘤具有重要意义。
研究思路
研究结果
构建与预后和焦亡相关的 lncRNA 特征
首先,在训练集中基于单变量Cox回归分析鉴定出230个预后lncRNA,根据lncRNA与焦亡相关基因的共表达关系,将824个lncRNA鉴定为焦亡相关lncRNA。28 个 lncRNA 是细胞焦亡相关 lncRNA 和预后 lncRNA 的重叠 lncRNA。这些 lncRNA 不仅与 BC 患者的预后显着相关,而且与细胞焦亡有关。最后,基于与 lncRNA 相关的特征,鉴定了九个最佳 lncRNA,并构建风险模型。训练集中的每个患者都根据上述公式获得了风险评分。然后根据风险评分的中值将患者分为高危组和低危组。同时将验证集样本按照风险评分分为高低组,分别在训练集和验证集进行Kaplan-Meier 分析OS、 疾病特异性生存期(DSS)和无病生存期(DFS)。
Pyroptosis 通路的激活水平与 BC 患者的预后相关
为进一步证实细胞焦亡与BC患者预后的关系,通过ssGSEA评估METABRIC和GSE20685数据库中BC患者细胞焦亡通路的激活水平。患者根据pyroptosis通路评分的中值分为pyroptosis上调组和pyroptosis下调组,然后进行Kaplan-Meier 分析。
焦亡相关的 lncRNA 特征的独立预后并构建网络
进行单变量 Cox 回归分析和多变量 Cox 回归分析以研究焦亡相关 lncRNA 特征对 BC 患者的独立预后价值。并构建lncRNA-mRNA网络。
功能富集分析
进行基因集和功能富集分析 (GSEA) 以研究与细胞焦亡相关的 lncRNA 特征相关的信号通路。在高风险组中促进细胞焦亡的通路被下调,低风险组的抗肿瘤免疫信号通路显著富集。为了进一步研究与焦亡相关的 lncRNA 相关的生物学过程,进行了 GO 富集分析和 KEGG 通路分析。
BC的肿瘤免疫微环境
为研究焦亡相关的lncRNAs与肿瘤免疫微环境(TME)的关系,采用CIBERSORT算法计算BC患者中各类肿瘤浸润免疫细胞的比例,还比较两组之间免疫检查点分子的差异,最后比较了高危组和低危组之间细胞因子表达水平的差异。
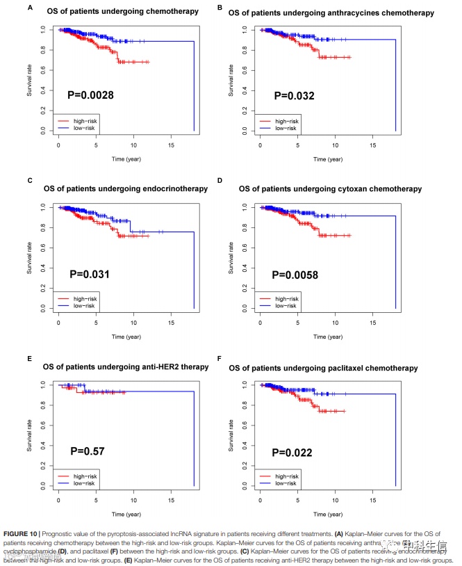
接受不同治疗的 BC 患者中与细胞焦亡相关的 lncRNA 特征
探讨了焦亡相关 lncRNA 特征在接受不同治疗方案的 BC 患者中的预后价值。在接受化疗和内分泌治疗的 BC 患者中,基于细胞焦亡相关 lncRNA 特征的高危组患者的预后明显较差。进一步分析了接受蒽环类药物、环磷酰胺或紫杉醇治疗的患者的预后。结果显示,在接受蒽环类药物、环磷酰胺或紫杉醇治疗的患者中,高危组患者的预后较差。
基于焦亡相关 lncRNA 特征的列线图的构建和验证
为了为 BC 患者提供稳定准确的预测模型,用临床特征和风险评分构建列线图。列线图的预测准确性通过时间相关的 ROC 曲线分析进行评估。然后,通过ROC曲线分析比较列线图和传统预后指标(如年龄、AJCC分期和IHC亚型)的预测值,列线图的 AUC 在训练集和验证集都显着高于传统预后指标。
>确定了一种新的细胞焦亡相关 lncRNA 特征,OIP5-AS1、Z68871.1、LINC01301、AC103858.2、AC005034.5、LINC01871、AL606834.2、TNFRSF14-AS1 和 TBC1D8-AS1
>它是 BC 患者的独立预后指标
>细胞焦亡相关的 lncRNA 与免疫微环境有潜在关系,可能是 BC 患者的治疗靶点。
>细胞焦亡风险评分与TILs和免疫检查点分子的表达有关。
>细胞焦亡相关 lncRNA 特征可以准确预测乳腺癌患者的预后和肿瘤免疫微环境。因此,诱导细胞焦亡可能是提高 BC 免疫疗法疗效的潜在疗法。
致力于提供“一站式”科研定制服务”
微信号 : 中科生信

