今天小编分享一篇2021年1月发表在Peer J的肝细胞癌的文章(IF :2.984),题目为“Identification of hub genes and biological pathways in hepatocellular carcinoma by integrated bioinformatics analysis”。
1
背景与方法
背景:肝细胞癌(HCC)是人类肝癌的主要类型,是世界上发病率最高、致死率最高的恶性肿瘤之一。本研究旨在通过综合生物信息学分析确定hub基因和关键生物学途径。
方法:
1. 鉴定差异表达基因(DEGs)。
2. 然后,用3种不同的算法对基因模块进行识别,并进行基因模块与临床指标的相关性分析。
3. 此外,我们使用相互作用基因检索工具(STRING)数据库构建了关键基因模块的蛋白质相互作用(PPI)网络,并基于该PPI网络使用九种拓扑分析算法确定了枢纽基因。
4. 此外,我们使用 Oncomine 分析、生存分析、GEO 数据集来验证 hub 基因在 HCC 中的重要作用。
2
结果
1.鉴定表达谱中的 DEG
DEG的识别结果(图1)。(A)鉴定了 HCC 和正常样本之间的 4,601 个 DEG,包括 4,130 个上调基因和 471 个下调基因。(B)粉色和绿色条是HCC 与其正常组织相比显着上调和下调基因的数量。
图1
2. GCN的构建和基因模块的鉴定
GCN 通过 Pearson 相关分析构建(图2)。
图2
多级算法得到的模块识别结果(图3)。多级算法将 GCN 划分为 13 个基因模块,将少于 50 个基因的小模块去掉,标记模块为 9 个基因模块以供进一步分析。
图3
3、关键基因模块鉴定及GO/Reactome富集分析
基因模块与临床指标相关性的热图(图4)。
图4
所有模块的 PS 值(图5)。
图5
关键基因模块 (m1) 中基因P值最小的 20 个 GO 术语(生物过程)(图6)。
图6
4、PPI网络构建与枢纽基因鉴定
关键基因模块(m1)的PPI网络(图7)。
图7
使用 cytohubba 插件提供的九种拓扑分析算法计算节点(基因)在 PPI 网络中的重要性(表 1)。将每个算法中得分最高的五个基因合并在一起作为本研究的hub基因。
表1
5、hub基因的验证
使用 Oncomine 分析探讨了 16 个hub基因在肝癌中的 mRNA 表达情况(图8)。
图8
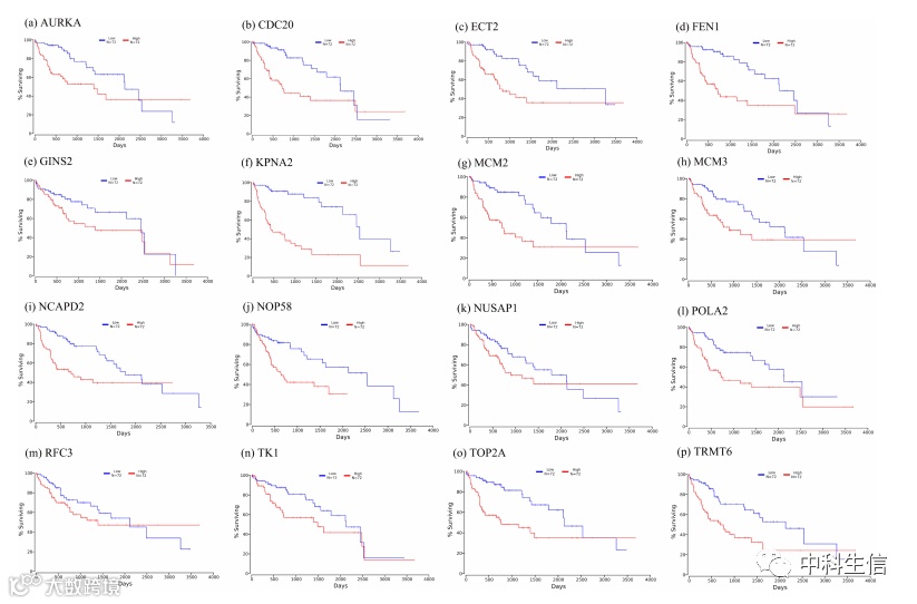
Hub基因表达与生存之间存在显着相关性(图9)。
图9
11个hub基因的ROC曲线(图10)。
图10
结论
综上所述,本研究构建了基于 GCN 分析的综合生物信息学分析来分析 HCC 的基因表达谱,并确定了 HCC 中的枢纽基因和生物学通路。MCM3、TRMT6、AURKA、CDC20、TOP2A、ECT2、TK1、MCM2、FEN1、NCAPD2和KPNA2可能是 HCC 的潜在生物标志物或治疗靶点。同时,代谢途径、细胞周期和有丝分裂途径可能在HCC的进展中起重要作用。然而,我们需要更多的实验来研究这些新的、关键的和hub基因。基于这些结果,从基因和分子水平探讨了HCC的潜在分子机制,为HCC的诊断和治疗提供了新的见解。
更多生信服务联系小编

