早!生信除了可以挖掘基因,也可以在实验的基础上,对某个疾病相关的基因或者基因家族等等进行研究。今天小编就和大家分享一篇刚刚发表在J Oncol杂志(IF:4.375)的文章《The Emerging Role of MTHFD Family Genes in Regulating the Tumor Immunity of Oral Squamous Cell Carcinoma》,作者探究了亚甲基四氢叶酸脱氢酶(MTHFD)家族基因在口腔鳞状细胞癌(OSCC)中的功能及调控机制,重点关注其在肿瘤免疫中的调控作用。下面我们就一起来看看吧!
背景&方法
口腔鳞状细胞癌(OSCC)是头颈部最常见的恶性肿瘤之一。常见的危险因素包括吸烟、饮酒和咀嚼槟榔。亚甲基四氢叶酸脱氢酶 (MTHFD) 家族基因是必需的线粒体叶酸代谢调节酶,在细胞核酸合成和氧化应激中起关键作用。MTHFD 家族基因包括 MTHFD1、MTHFD1L、MTHFD2 和 MTHFD2L。研究发现,MTHFD 家族基因的改变与癌症进展有关,但它们在 OSCC 发展中的确切作用仍然未知。
方法:
1.利用TCGA数据库探究MTHFD 家族基因在 OSCC 和其他癌种中的表达;
2.利用logistic回归分析MTHFD家族基因与临床特征的关联;
3.分析MTHFD家族基因对OSCC预后的作用;
4.构建GGI网络鉴定OSCC中MTHFD 家族相关基因;
5.对MTHFD家族基因相关基因进行GO和KEGG富集分析;
6.OSCC中MTHFD家族基因与免疫的相关性分析。
研究结果
OSCC中MTHFD家族基因的表达模式
研究了泛癌中每个 MTHFD 家族基因的表达模式。在OSCC中,与正常口腔样本相比,OSCC 样本中 MTHFD 家族基因的 mRNA 表达显著上调。ROC曲线用于评估MTHFD家族基因的诊断效用。4对临床OSCC样本的免疫组化染色证实肿瘤组织中MTHFD2的水平高于邻近正常组织。
OSCC中MTHFD家族基因表达与临床病理学特征之间的关联
采用logistic回归分析探究MTHFD家族基因mRNA表达与OSCC患者临床特征的相关性。
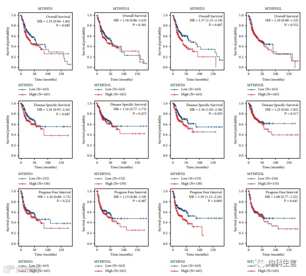
MTHFD家族基因在预测OSCC预后中的价值
Kaplan-Meier 曲线显示,MTHFD2 表达较高的 OSCC 患者 OS 较低,疾病特异性生存期(DSS)较差,无进展间期(PFI)较低。单变量和多变量 Cox 回归分析MTHFD家族基因与OSCC预后指标的关系。构建列线图以可视化 MTHFD 家族基因与生存概率之间的关系。校准曲线显示 MTHFD 家族基因对 1 年和 3 年总生存期具有良好的预测能力。
MTHFD家族基因的共表达和相关基因
基于STRING数据库,构建了MTHFD家族基因的GGI网络。前 20 个共表达基因被选为具有高连接性的重要枢纽节点基因。此外,对MTHFD家族基因的前100个正相关基因和100个负相关基因,进行GO和KEGG基因富集分析以及GSEA富集分析。
OSCC中MTHFD家族基因与肿瘤免疫的关系
从肿瘤微环境、肿瘤免疫浸润细胞和免疫相关基因三个方面进一步探讨MTHFD家族基因表达与免疫的关系。使用 ESTIMATE 算法评估了 MTHFD 家族基因与肿瘤微环境之间的相关性,Pearson 相关分析探究MTHFD 家族基因与免疫细胞浸润的相关性,最后分析MTHFD 家族基因与免疫抑制/刺激基因之间的相关性。
中科生信
微信号|中科生信
“一站式”科研定制服务

