今天小编分享一篇2021年5月发表在PeerJ的骨肉瘤的文章(IF :2.984),题目为“Identification of potential gene signatures associated with osteosarcoma by integrated bioinformatics analysis”。
背景:骨肉瘤(OS)是儿童和青少年最原发的恶性骨癌,死亡率很高。这项工作旨在通过基因表达综合 (GEO) 数据库的集成微阵列分析筛选与 OS 相关的新的潜在基因特征。
方法:
1.从 GEO 数据库中搜索并下载 OS 微阵列数据集
2.识别 OS 和正常样本之间的差异表达基因 (DEG)。
3.应用功能富集分析、蛋白质-蛋白质相互作用(PPI)网络分析和转录因子(TF)-靶基因调控网络来揭示DEGs的生物学功能。
4.从 GEO 数据库获得两个已发布的 OS 数据集(GSE39262和GSE126209),用于评估关键基因的表达水平和诊断价值。
结果:
1.DEG的识别
在 OS 样本和正常对照之间共鉴定出 1,059 个 DEG(569 个上调基因和 490 个下调基因)。聚类分析表明,前 100 个 DEG 可以从四个数据集中区分 OS 样本和对照(图1)。
图1
2. DEGs的GO和KEGG富集分析
差异表达基因Top 20 的 GO术语(图2)。
图2
3.PPI网络分析
差异表达基因的蛋白质-蛋白质相互作用网络(图3)。
图3
4.TF-基因网络分析
使用 TRANSFAC 来预测调节 20 个上调和下调 DEG 的 TF(图4)。
图4
5. 评价关键基因的表达水平和诊断价值
GSE39262数据集中七个差异表达基因的箱线图(图5)。
图5
GSE126209数据集中七个差异表达基因的箱线图(图6)。
图6
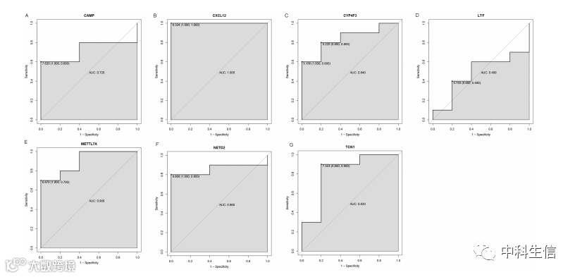
GSE39262数据集中所选差异表达基因的 ROC 曲线(图7)。
图7
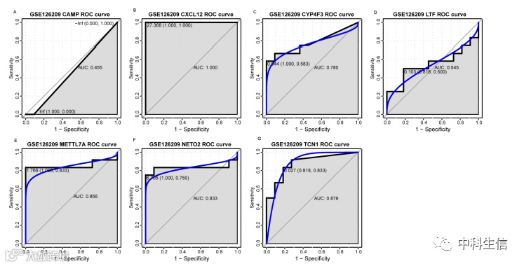
GSE126209数据集中选择的差异表达基因的 ROC 曲线(图8)。
图8
结论
总之,在 OS 和正常样本之间共鉴定了 1,059 个 DEG。其中,NETO2的上调和METTL7A、TCN1和CXCL12的下调可能是与 OS 相关的潜在基因特征。Pax-6也可能与OS的病理过程有关。然而,应进行具有更大样本量和体内或体外测定的综合生物信息学分析以确认我们的结果。

