点击蓝字 关注我们
早!今天小编和大家分享一篇22年12月发表在Thorac Cancer杂志(IF:3.5)的文章《Identification of a novel anoikis-related gene signature to predict prognosis and tumor microenvironment in lung adenocarcinoma》。失巢凋亡作为细胞凋亡的一大类型,在疾病发生和肿瘤转移方面起了重要作用。在这篇文章中,作者利用公共数据库数据对肺腺癌失巢凋亡相关基因进行探索,构建了预后风险模型,并对肿瘤微环境进行了分析。
背景
肺腺癌 (LUAD) 是最常见的非小细胞肺癌组织型,常伴随预后不良。失巢凋亡是程序性细胞死亡的另一种形式,在癌症侵袭和转移中起着关键作用,可防止分离的癌细胞重新粘附到其他基质上进行异常增殖。研究的目的是对 LUAD 中失巢凋亡相关基因 (ARG) 的预后影响进行全面分析。
方法
1. 从 TCGA 数据库下载 LUAD 患者的转录组谱和相关临床信息
2. Genecards 中选择 ARG
3. 使用单变量 Cox 回归分析和 LASSO 回归分析识别包含 ARG 的特征。
4. 通过单变量和多变量 Cox 回归分析开发了包含特征和临床信息的列线图。
5. 应用 Kaplan–Meier 生存分析和接受者操作特征 (ROC) 曲线来评估这些风险模型的预测有效性。
6. 对选定的 ARG 在特征和免疫景观分析中进行了功能分析。
结果
差异ARG的鉴定
研究的流程图如图 1所示。
图1
在 TCGA 数据库中获得了 535 例 LUAD 患者的 RNA 转录组数据和相应的临床数据。在 Genecards 数据集中鉴定的 338 个 ARG 中,91 个差异表达的 ARG 在肿瘤和 NAT 之间具有显着性,包括肿瘤中 67 个上调和 24 个下调(图 2a,b)
图2
失巢凋亡相关基因特征的开发和验证
为了建立预测 LUAD 患者生存状态的特征,将477 名患者随机分为训练集(334 名患者)和验证集(143 名患者)。在训练集中,对差异表达的 ARG 进行了单变量 Cox 回归,并确定了 22 个与预后相关的基因。LASSO 分析进一步选择了 16 个最佳预后 ARG(图 2c,d)。最后,在训练集中开发了包含所选 ARG 的风险评分模型,训练、验证和整组中的患者被分为两组;高风险组和低风险组,基于训练集中公式计算的中值风险评分(图 3a-c)。图 3d-f表明,增加的风险评分与累积的生存状态较差的患者呈正相关。签名中 ARG 的表达水平如图 3g–i所示。
图3
如 Kaplan-Meier 生存分析所示,在所有三组中,与低风险组相比,高风险组的 OS 明显更短(图 4a-c)). ROC 曲线分析表明,ARGs 签名也具有较好的判别性能(图 4d-f)。
图4
列线图的构建和评估
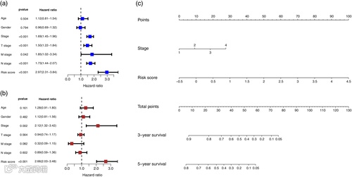
在整个 LUAD 集中,在单变量 Cox 回归中观察到 TNM 分期、T 分期和风险评分与 OS 密切相关。多变量 Cox 分析进一步确定风险评分和 TNM 分期是独立的预后因素(图 5a、b)。在多变量 Cox 回归分析中显着的所有变量都被纳入预测模型,以预测 LUAD 患者的 3 年和 5 年 OS(图 5c)。
图5
根据诺模图生成的风险评分,将整组LUAD患者按风险评分的中值分为不同的风险组。图 6a结果表明,与低风险组患者相比,高风险组患者的预后明显较差。DCA 分析表明通过使用诺模图做出决策可以获得更高的净收益(图 6b)。此外,利用 ROC 曲线评估该预后模型的 3 年和 5 年 OS 的预测性能,并分别获得了 0.781 和 0.727 的 AUC(图 6c)。此外,在校准曲线中显示诺模图预测与实际观察之间的良好一致性(图 6d,e)。 因此,该预后综合列线图显示出有希望的预测价值。
图6
功能富集
功能富集结果显示ARGs 可能主要与 LUAD 迁移和转移有关(图 7)。
图7
肿瘤微环境
如图 8a所示,与低风险组相比,高风险组中激活的记忆 CD4+ T 细胞、M0 巨噬细胞、中性粒细胞和静息肥大细胞的丰度显着增加。包括 APC 共抑制、MHC I 类、炎症促进、副炎症和 T 细胞共抑制在内的免疫功能在高风险组中相对活跃,而 HLA 功能和 II 型 IFN 反应在低风险组中更为活跃(图 8b )。 在免疫检查点分析中,结果显示免疫抑制受体(如 CTLA4、PD-1、LAG3、BTLA 和 TIGIT)和免疫抑制配体(如 PD-L1、PD-L2 和 TNFSF14)在细胞中高表达。高风险组与低风险组相比(图 8c,d)。
图8
添加微信获取相关文献

