分享一篇2023年1月发表在J Immunol Res(IF:4.493)的文章《Identification and Analysis of Potential Immune-Related Biomarkers in Endometriosis》(PMID: 36660246),作者筛选了转录因子(TF)-免疫相关基因(IRG)调控网络作为潜在的生物标志物,以揭示子宫内膜异位症早期诊断的新分子。该思路同样适用于其他非肿瘤或肿瘤的研究,有相关需求的老师欢迎联系我们。
背景&方法
背景:
子宫内膜异位症是一种炎症性妇科疾病,其特征是子宫外存在子宫内膜组织。子宫内膜异位症患者不仅子宫内膜免疫状态改变,外周免疫系统也改变。一些TF与IRG密切相关,也可以调节IRG在某些疾病中的功能。
方法:
1、子宫内膜异位症中DETF和DEIRG的鉴定;
2、不同子宫内膜异位症严重程度组DETF的验证;
3、DEIRG在子宫内膜异位症伴或不伴不孕症妇女中的表达;
4、DETF和DEIRG的功能富集分析;
5、PPI网络构建与Pearson相关分析;
6、Hub IRG的识别和验证;
结果
子宫内膜异位症中DETF和DEIRG的鉴定
从两个数据库中获得了1508个TF。随后,从GSE7305和GSE7307中共获得1141个DEG,其中上调基因525个,下调基因616个。将DEG与TF取交集,确定了94个DETF(35个上调DETF和59个下调DETF。同样,从ImmPort数据库中下载了1793个IRG,IRG和DEGs取交集获得了111个DEIRG(80个上调DEIRG和31个下调DEIRG)。
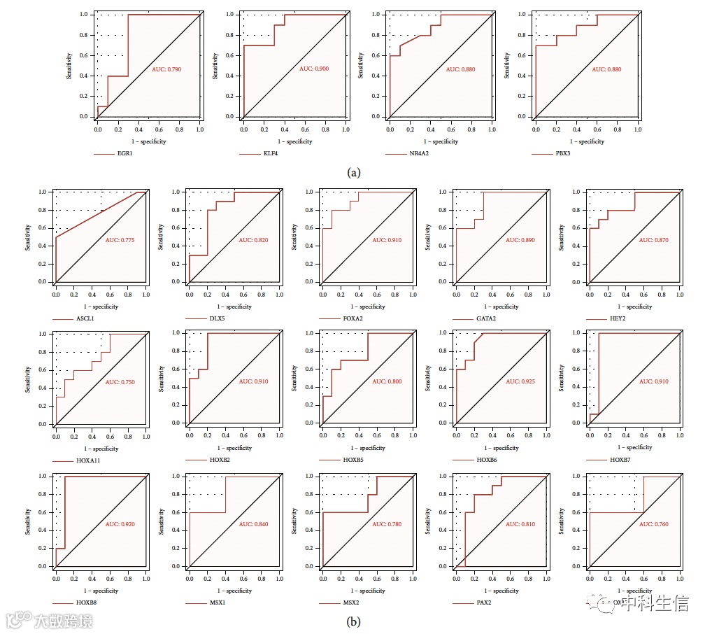
不同子宫内膜异位症严重程度组DETF的验证
数据集GSE51981包含不同严重程度的子宫内膜异位症样本。选取了40个表达最高的DETF(14个上调,26个下调)。我们发现上调的DETF在中/重度组仍然高表达,ROC曲线分析显示这些上调DETF可以预测子宫内膜异位症的严重程度。在中/重度组中,大多数下调DETF仍保持低水平表达。此外,ROC曲线AUC值均大于0.7。
DEIRG在子宫内膜异位症伴或不伴不孕症妇女中的表达
GSE120103数据集包括子宫内膜异位症的不孕和可孕女性,我们获得了表达的前40个DEIRG。大多数上调DEIRG在子宫内膜异位症不孕女性中表达增加,而部分下调DEIRG在不孕女性子宫内膜中表达水平较低。对于这一结果,ROC分析也验证了DEIRG的敏感性和特异性。
DETF和DEIRG的功能富集分析
为了表明DETF和DEIRG的生物学特性,进行了功能分析,包括GO功能和KEGG富集分析。
PPI网络构建与Pearson相关分析
使用STRING在线数据库构建DETF和DEIRG之间的蛋白质相互作用,使用Cytoscape构建PPI网络。识别出5个子网络。采用Pearson相关分析对TF-IRG调控网络进行分析,大多数节点在表达水平上与其他节点相关。使用Cytoscape的cytoHubba插件根据网络分析中最重要的三个拓扑特征来识别枢纽基因。五个IRG(CXCL2, C3, VCAM1, ITGB2和C3AR1)被认为是调控网络中的hub基因。
Hub IRG的识别和验证
GSE7305和GSE7307中各hub IRG的表达均高于对照组。GSE23339和ENDOMET Turku子宫内膜异位症数据库也被用于验证。但在GSE23339中,CXCL2无统计学意义。由此获得了4个hub基因(C3、VCAM1、ITGB2和C3AR1)。通过qRT-PCR验证了上述4个hub基因,高表达的C3和VCAM1在子宫内膜异位症中具有统计学意义,AUC分别为0.96和0.76。GSE7305、GSE7307、GSE23339的ROC分析表示,四个hub IRG的AUC值均超过80%。
长按添加二维码
个性化医学生信解决方案
生信、测序、验证全包括
高分sci全程服务

