点击蓝字 关注我们
老师们上午好!今天为大家分享一篇22年11月分享在Frontiers in Pharmacology (IF: 5.988)杂志的文章。本文基于TGF-β信号通路相关基因对胃癌患者进行了二次聚类,并构建了TGF-β相关预后模型,建立风险评分。分析高、低风险组的预后、肿瘤突变负担(TMB)、肿瘤微环境(TME)、对免疫检查点抑制剂(ICIs)和抗肿瘤药物的敏感性等。对于该思路有兴趣的老师,可以与我们联系,方法和思路适用于其他疾病。
背景
目前,大多数研究只关注TGF-β信号通路中的一两个基因,而肿瘤的发生往往是大量基因相互作用的结果。因此,有必要系统分析TGF-β信号通路中多个基因与TME的关系,以发现新的、不同的免疫表型,筛选对免疫治疗敏感的人群,进行更精准的治疗。TGF-β信号通路在肿瘤进展和免疫反应中起着至关重要的作用。然而,TGF-β信号通路相关基因(TSRG)与胃癌临床预后、肿瘤微环境(TME)和免疫治疗之间的联系尚不清楚。
方法
1.通过TCGA和GEO数据库下载胃癌的转录组数据和相关临床数据,从MSigDB获得54个TSRG;
2. 基于TSRGs进行第一次聚类,将患者分成2个cluster,并分析了不同分子亚型在预后、临床病理特征和TME方面的差异;再基于2个亚型的差异表达基因(DEGs)进行第二次聚类,将患者分成3个不同的cluster。
3. 使用单变量和最小绝对收缩和选择运算符(LASSO)Cox回归分析构建TGF-β相关预后模型,以量化每位患者的风险程度。根据中位风险评分将患者分为高风险和低风险两组。
4. 对高危和低危组患者对免疫检查点抑制剂(ICIs)和抗肿瘤药物的敏感性进行分析。
技术路线图
研究结果
1.TSRGs在胃癌中的差异表达和遗传变异景观
对54种TSRGs在胃癌组织中的差异表达进行分析,得到了43个DEGs,其中JUNB、ID1等5个基因在胃癌组织中低表达,其余DEGs高表达(图1A)。基于String数据库构建了蛋白-蛋白相互作用网络 (图1B)。接下来,探讨了胃癌患者54个TSRGs的体细胞突变水平和CNVs改变频率。
2.基于TSRGs进行第一次聚类,将胃癌患者分成2个亚群
基于54种TSRGs的表达水平进行了无监督聚类分析,以确定胃癌亚型:TGF-β clusterA和TGF-β clusterB。Kaplan-Meier生存分析显示TGF-β clusterB具有更显著的生存优势。另外,结合TGF-β亚群和胃癌患者的临床病理特征绘制了54个TSRGs表达热图,TGF-β clusterA中的表达水平更高(图2F)。
3. 两种不同TGF-β亚群的TME特征
ESTIMATE分析显示,TGF-β clusterA组患者基质评分、免疫评分和ESTIMATE评分较高(图3A-C)。TGF-β clusterA组患者的PD1、PD-L1和CTLA4表达水平更高(图3D-F)。使用CIBERSORT算法进一步分析了两种TGF-β亚组的免疫细胞浸润水平。此外,GSVA富集分析显示TGF-β clusterA中富集了多种肿瘤相关信号通路 (图3H)。
4. 基于TGF-β亚群相关DEGs进行二次聚类
分析TGF-β cluster相关的DEGs,并进行了功能富集分析(GO和KEGG)(图4A-B)。然后,通过单因素Cox回归分析,筛选出了199个与胃癌患者预后相关的基因。基于199个基因的表达水平,采用无监督一致性聚类分析将胃癌患者分为三个不同的基因簇,即gene clusterA、gene clusterB和gene clusterC(图4C-D)。分析三组患者的生存期和差异表达基因(图4E)。
5. 构建预后风险模型并验证
采用LASSO和多因素Cox回归分析构建基于5个基因的风险模型,计算每位患者的风险评分(图5A-C)。桑基图显示了风险评分与TGF-β簇、基因簇、生存状态之间的相关性(图5D)。不同TGF-β聚类与基因聚类间的风险评分存在明显差异(图5E-F)。
6. TGF-β聚类相关DEGs预后模型的预后价值
根据中位风险评分将胃癌患者分为高风险组和低风险组。并绘制风险评分曲线和生存状态散点图(图6A-B)和Kaplan-Meier 生存分析(图6C)。风险评分的 1 年、3 年和 5 年 AUC 值分别为 0.612、0.668 和 0.694 (图6D)。并在两个验证集中进行了相同的分析并获得了相同的结果(图 6E–L证明我们建立的风险模型在预测胃癌患者的生存结果方面具有出色的表现。
7. 基于预后模型的临床特征和生存分析
为探索风险评分与可用临床病理特征之间的相关性,分析临床亚组之间风险评分的差异。结果显示,不同年龄组和性别亚组的风险评分无显著差异(图 7A-B),而 T3-4 和 N1-3 亚组的患者风险评分较高(图 7C-D)。此外,对不同的亚组进行了Kaplan-Meier生存分析。结果发现,在年龄 、性别、T3-4、 N1-3亚组中,高危组患者的OS显著低于低危患者(图7E-H、图7L),而T1-2、N0 亚组患者OS无明显差异(图7I-K)。
8. 风险评分与临床特征的独立预后
为探索风险评分是否是胃癌患者的独立预后因素,结合临床病理学特征,在训练集和两个验证集(测试集和整个集)中进行了单变量和多变量Cox回归分析(图8A-F)
9. 列线图的构建和验证
鉴于胃癌患者的风险评分与预后密切相关,绘制了性别、年龄、T分期、N分期和风险评分的列线图,以预测训练集和两个验证集中患者1年、3年和5年生存率(图 9A、C、E),并绘制了相应的校准曲线(图 9B、D、F)。
10. 肿瘤免疫微环境
ESTIMATE分析胃癌高危人群和低危人群在肿瘤免疫微环境的差异的结果:高危组胃部患者基质评分、免疫评分、ESTIMATE评分较高(图 10A)。随后,使用七种算法来评估免疫细胞浸润水平与风险评分之间的相关性(图 10B-C)。并使用ssGSEA进一步探索了两个亚组之间16个免疫细胞和13个免疫相关途径的差异(图 10D-E)。最后,分析了两个亚组之间免疫检查点相关基因的表达水平
11. 免疫治疗应答率分析
TMB与风险评分之间的相关性分析结果显示:TMB与风险评分呈负相关(图 11A),低危组胃癌患者的TMB显著高于高危组胃癌患者(图11B)。Kaplan-Meier 生存分析显示,风险评分降低了高 TMB 组胃癌患者的预后优势(图11C)。对胃癌患者的体细胞突变分析结果展示最常见的突变形式和前5名突变基因(图11D)。此外,分析了MSI与风险评分之间的相关性,并表明低风险组患者的MSI-H比例较高,MSI-H患者的风险评分较低(图11E)。
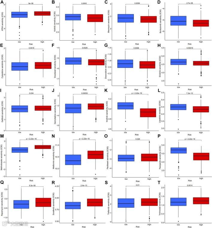
12. 药物敏感性分析
为探索风险模型在临床治疗中的潜在作用,分析了常见抗肿瘤药物在高低风险组之间的IC50差异。结果发现:低危组患者对ATRA、阿糖胞苷等药物更敏感,而高危组患者对阿昔替尼、博来霉素等药物更敏感(图12)。以上结果表明,我们的预后模型可以作为胃癌患者抗肿瘤药物的重要指标
添加微信获取相关文献
长按添加二维码
个性化医学生信解决方案
生信、测序、验证全包括
高分sci全程服务

