Causal associations of remnant cholesterol with cardiometabolic diseases and risk factors: a mendelian randomization analysis
残余胆固醇与心脏代谢疾病和危险因素的因果关系:孟德尔随机分析
IF:9.3 发表期刊:Cardiovascular Diabetology 发表时间:2023.8.10
背景:新的证据表明残余胆固醇(RC)与心脏代谢疾病(CMD)发病率增加密切相关。但因果关系尚未得到证实。我们的目的是使用双样本孟德尔随机化 (MR) 方法评估 RC 与 CMD 的因果关系以及相对危险因素。
方法:RC、CMD 和心脏代谢危险因素的汇总统计数据是从主要来自英国生物库和 FinnGen 生物库的欧洲血统个体的已发表数据中获得的。使用单变量和多变量 MR 分析来评估 RC 和 CMD 之间的因果关系。进行双向 MR 分析以估计 RC 和心脏代谢危险因素之间的因果关系。主要的MR方法是使用逆方差加权(IVW)方法进行的。
结果:单变量 MR 分析显示,基因预测的 RC 与缺血性心脏病、心肌梗死、心房颤动和心房扑动、外周动脉疾病和非风湿性瓣膜疾病的较高风险存在因果关系(P < 0.05)。多变量 MR 分析证明了 RC 对缺血性心脏病风险的有害影响 (P < 0.05)。双向MR分析表明,RC与总胆固醇、甘油三酯、低密度脂蛋白胆固醇、高胆固醇血症存在双向因果关系(P < 0.05)。然而,未发现 RC 与代谢紊乱或其他心脏代谢危险因素之间存在遗传关联。
结论:这项 MR 研究表明,基因驱动的 RC 会增加多种 CMD 和心脏代谢危险因素的风险,这表明靶向降低 RC 的治疗可能对 CMD 的一级预防有效。
figure1

研究流程图
第一阶段,使用 CMD 数据库对每次暴露因素(RC)进行 MR 分析(双样本 MR 分析和多变量 MR 分析)。
第二阶段,RC和几个心脏代谢危险因素之间的双向 MR 分析。
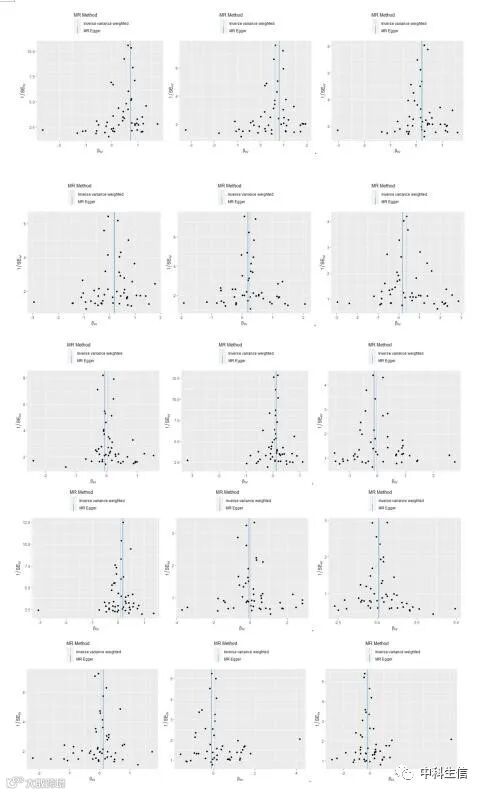
Figure2




RC与心脏代谢疾病之间的因果关系,暴露因素:RC,结局变量:心脏代谢疾病
(A)RC与心脏代谢疾病之间的孟德尔分析结果图 (B) RC与心脏代谢疾病之间的孟德尔分析散点图展示 (C) RC与心脏代谢疾病之间的孟德尔分析森林图展示 (D) RC与心脏代谢疾病之间的孟德尔分析散点图展示
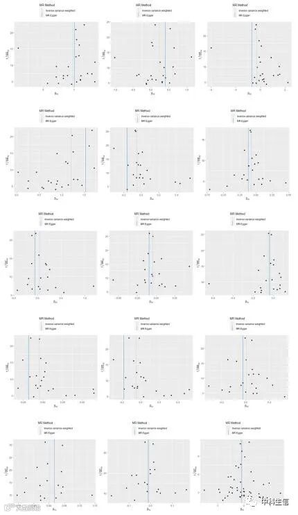
Figure3



RC与心脏代谢危险因素之间的因果关系,暴露因素:RC,结局变量:心脏代谢危险因素
(A)RC与心脏代谢危险因素之间的孟德尔分析结果图 (B) RC与心脏代谢危险因素之间的孟德尔分析森林图展示 (C) RC与心脏代谢危险因素之间的孟德尔分析散点图展示
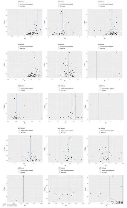
Figure4



心脏代谢危险因素与RC之间的因果关系,暴露因素:心脏代谢危险因素,结局变量:RC
(A)心脏代谢危险因素与RC之间的孟德尔分析结果图 (B) 心脏代谢危险因素与RC之间的孟德尔分析森林图展示 (C) 心脏代谢危险因素与RC之间的孟德尔分析散点图展示


