早!本次小编分享一篇于 2020 年 2 月 5 日发表在Front. Oncol.的文献,题目为《Identification of Therapeutic Targets and Prognostic Biomarkers Among CXC Chemokines in the Renal Cell Carcinoma Microenvironment》,影响因子6.244。
背景:肾细胞癌(RCC)是最常见的恶性肿瘤之一,发病率不断上升,死亡率很高。癌细胞和间质细胞之间的交叉对话对肿瘤的发生和发展产生了重大影响,并且部分地受到趋化因子的调节。肿瘤微环境中的CXC趋化因子可以调控免疫细胞的迁移,调节肿瘤细胞的活动,从而发挥抗肿瘤免疫作用,影响患者的预后;然而,CXC趋化因子在RCC中的表达和预后价值还没有明确。
方法:本研究使用了ONCOMINE、GEPIA、UALCAN、cBioPortal、GeneMANIA、DAVID 6.8、Metascape、TRRUST、LinkedOmics和TIMER。
结果:RCC组织中CXCL1/2/5/6/9/10/11/16的转录水平明显升高,而CXCL3/7/12/13的转录水平则明显降低。发现CXC1/5/9/10/11/13的表达与RCC患者的病理分期之间有明显的相关性。CXCL1/2/3/5/13转录水平低的RCC患者与预后明显好转有关。不同表达的CXC趋化因子的功能主要与趋化因子信号通路、细胞因子-细胞因子受体相互作用和ILK信号通路有关。我们的数据表明,RELA、NFKB1和SP1是CXC趋化因子的关键转录因子,SRC家族的酪氨酸激酶(LCK、LYN和FYN)、丝裂原活化蛋白激酶(MAPK1和MAPK3)和CSNK1D是CXC趋化因子的靶点。我们发现CXC趋化因子的表达与六种免疫细胞(B细胞、CD8+T细胞、CD4+T细胞、巨噬细胞、中性粒细胞和树突状细胞)的浸润之间有明显的相关性。
结论:我们的结果可能为肾细胞癌的免疫治疗目标和预后生物标志物的选择提供新的见解。
摘 要
肾细胞癌(RCC)起源于肾脏的上皮细胞,占肾癌的90%以上。目前,临床医生主要依靠肿瘤结节转移系统来预测RCC患者的临床结果(有一定的局限性)。最近,许多研究人员探索了RCC的治疗目标,特别是激酶和免疫检查点抑制剂,并取得了一些进展;然而,这远远不够,必须确定更多的治疗目标和预后生物标志物。
趋化因子是由大约50种低分子量的趋化细胞因子组成的家族,参与了许多生物过程,包括血管生成、肿瘤生长和转移以及白细胞的迁移。由肿瘤细胞和其他细胞类型,包括免疫细胞和肿瘤微环境中的基质细胞分泌的趋化因子可以调节免疫细胞的贩运和淋巴组织的生长,从而以时空方式调节抗肿瘤免疫反应。累积的证据显示,趋化因子可以调节肿瘤免疫,以直接和间接的方式调节肿瘤免疫和生物表型,从而影响血管生成、肿瘤的发生、发展、转移、治疗效果和病人的结局。作为趋化因子家族的一个重要组成部分,CXC趋化因子是潜在的治疗目标,也是包括RCC在内的许多类型肿瘤的预后生物标志物。
以前的研究已经描述了一些CXC趋化因子在RCC中的一般表达情况和功能,但确定合适的CXC趋化因子作为RCC的治疗靶点和预后生物标志物仍是一个巨大的问题,迫切需要关注。随着第二代基因测序技术的快速发展和各种数据库的建立,全面分析CXC趋化因子已成为可能。在这项研究中,我们对CXC趋化因子在RCC中的表达进行了深入全面的生物信息学分析,并基于几个大型公共数据库评估了其作为治疗靶点和预后生物标志物的潜力,从而为临床医生选择合适的治疗药物和更准确地预示RCC患者的长期结局提供了更多的数据。
研究结果
RCC患者中CXC趋化因子的异常表达
我们使用ONCOMINE数据库检索了16个CXC趋化因子(不包括CXCL15)。我们首先用ONCOMINE探讨了CXC趋化因子在RCC和正常肾脏组织中的转录水平。根据ONCOMINE的数据,RCC组织中CXCL6、CXCL9、CXCL10、CXCL11和CXCL16的转录水平明显升高,而CXCL3、CXCL7和CXCL13的转录水平在RCC与正常肾组织中明显降低。四个数据集表明,与正常组织相比,CXCL13在RCC肿瘤中明显下降。此外,在RCC组织中发现CXCL16的水平明显增加。
我们还用UALCAN评估了RCC肿瘤和正常组织中CXC趋化因子的表达水平。CXCL1、CXCL2、CXCL5、CXCL9、CXCL10、CXCL11和CXCL16在RCC组织中明显升高,而CXCL12的转录水平明显降低。比较RCC组织中CXC趋化因子的相对表达水平,CXCL14的相对表达是最高的。进一步分析中,CXCL4、CXCL8、CXCL14和CXCL17在RCC肿瘤和正常组织中的表达水平相似。
然后我们评估了不同表达的CXC趋化因子的表达与RCC患者的病理分期之间的相关性,发现CXC1、CXC5、CXC9、CXC10、CXC11、CXC13的表达与病理分期有显著相关性。随着肿瘤的发展,CXC1、CXC5、CXC9、CXC10、CXC11和CXC13的表达增加。这些数据表明,这些CXC趋化因子在RCC的肿瘤发生和发展中起着重要作用。
RCC患者中CXC趋化因子的预后价值
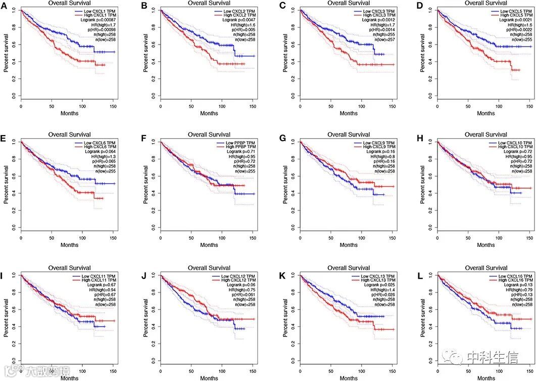
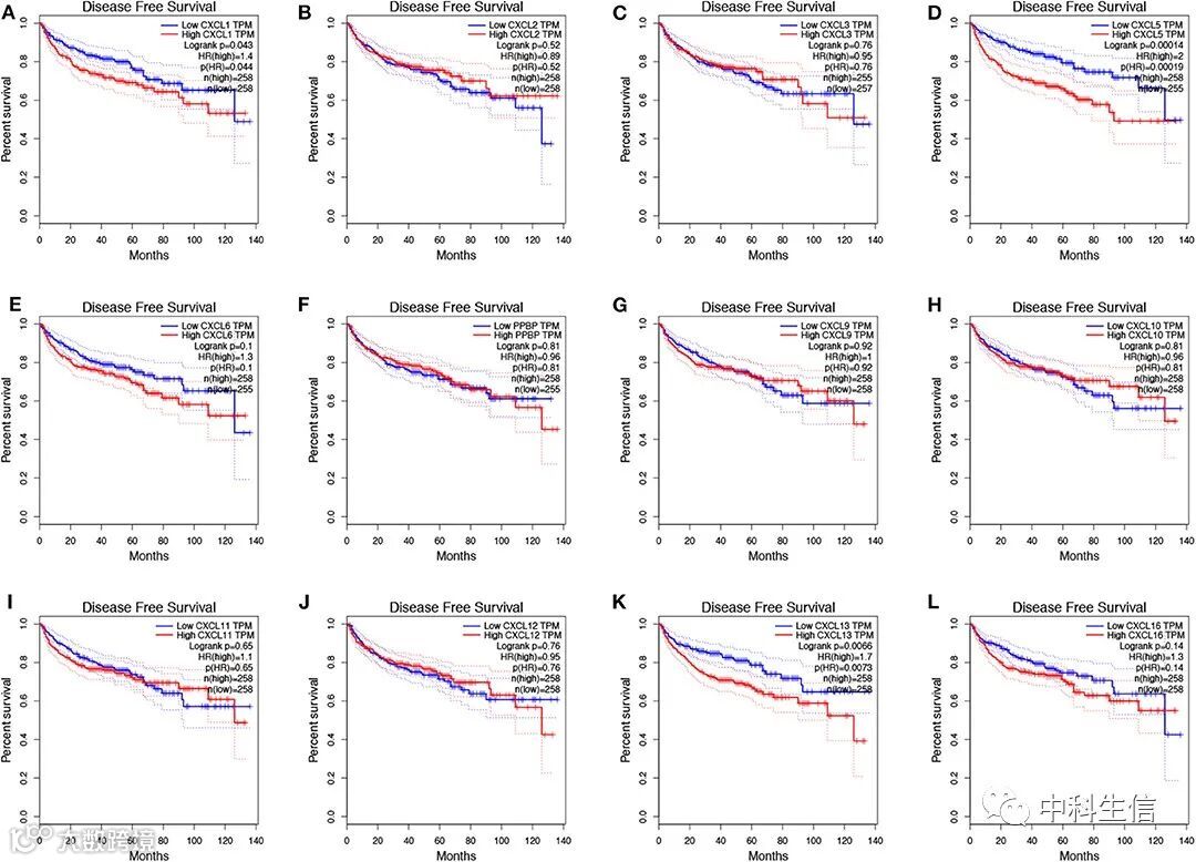
为了评估不同表达的CXC趋化因子在RCC进展中的价值,我们使用GEPIA评估了不同表达的CXC趋化因子与临床结果之间的相关性。CXCL1和CXCL5转录水平低的RCC患者与无病生存期长明显相关。我们还评估了不同表达的CXC趋化因子对RCC患者总生存的价值。CXCL1、CXCL2、CXCL3、CXCL5和CXCL13转录水平低的RCC患者与更长的总生存期显著相关。
RCC患者中CXC趋化因子的遗传改变、共同表达、邻接基因网络和相互作用分析
我们对不同表达的CXC趋化因子的分子特征进行了全面分析。利用TCGA数据集来分析差异表达的CXC趋化因子的基因改变,并探讨了不同表达的CXC趋化因子的潜在共同表达情况。CXCL9、CXCL10和CXCL11之间有高的相关性。此外,我们用STRING对不同表达的CXC趋化因子进行了PPI网络分析,以探索它们之间潜在的相互作用。这些不同表达的CXC趋化因子的功能与趋化因子信号通路和炎症反应有关。GeneMANIA的结果还显示,差异表达的CXC趋化因子(CXCL1, CXCL2, CXCL3, CXCL5, CXCL6, CXCL7, CXCL9, CXCL10, CXCL11, CXCL12, CXCL13, 和CXCL16)的功能主要与细胞趋化、趋化因子受体结合和趋化因子活性有关。此外,用cBioPortal分离出与不同表达的CXC趋化因子相关的前50个最频繁改变的邻接基因。这些数据表明,ALDOA、ARNT、C3、CALM1、CAMK2A、CCL28、CCR1、CCR2、CCR3、CCR4、CCR5、CCR8、CCR9、CCRL2、CDC42。CSNK1A1, CXCR1, CXR6, DRD3, GNAI2, GNB1, GNB2, GNGT1, GRK6, GRM6, GRM7, HEBP1, HGS, 1L12B, 1L23A, nmur2, PDGFRB, PIK3CA, PPKCD、PTGER3、PTPN11、PXN、RAC1、RALB、SPARC、SSTR4、STAT2、STAT3、TAS2R3、TAS2R31、TAS2R4、VWF、WNT5A、XCR1和GRM2主要与RCC中不同表达的CXC趋化因子的调节和功能有关。
RCC患者中CXC趋化因子的免疫细胞浸润情况
CXC趋化因子参与炎症反应和免疫细胞浸润,从而影响RCC患者的临床结果。因此,我们利用TIMER数据库对不同表达的CXC趋化因子和免疫细胞浸润之间的相关性进行了全面探索。
小结
CXC趋化因子最初被确定为炎症介质,它们在白细胞的成熟、分化和贩运中起着重要作用。RCC细胞和基质细胞之间的细胞间交流会影响各种类型细胞中趋化因子的表达模式,从而促进肿瘤侵袭和转移的特定微环境。越来越多的证据表明,CXC趋化因子在肿瘤发生、肿瘤细胞增殖和凋亡以及肿瘤转移中具有重要作用。本文数据表明,不同表达的CXC趋化因子可能在RCC中发挥重要作用。
微信公众号
中科生信

