早!今天小编和大家分享一篇今年4月发表在Journal of Oncology杂志(IF:4.375)的文章《Comprehensive Analysis of RAPGEF2 for Predicting Prognosis and Immunotherapy Response in Patients with Hepatocellular Carcinoma》。作者围绕RAPGEF2基因构建了预后模型并加上了一些湿实验,说明了RAPGEF2 和 RAPGEF2 相关基因的预后模型在 HCC 的预后和免疫治疗反应方面表现出优异的预测性能。下面我们就一起来看看作者做了哪些分析吧!
背景&方法
背景
肝细胞癌 (HCC) 是 2020 年全球第六大最常见的癌症,根据最近的一项研究,无法成功治疗 HCC 可能是由于该疾病的显著遗传变异性。此外,越来越多的数据表明,拷贝数变异 (CNV) 可以显著影响基因表达并与疾病风险相关。在肝细胞癌中,RAPGEF2可以激活 Rap2,从而抑制 YAP 和 TAZ,从而控制机械敏感性细胞活动。然而,RAPGEF2的预后价值以及RAPGEF2与肿瘤免疫微环境之间的关系仍然未知。
方法:
1.训练集样本从TCGA数据库获得,验证集样本来自于ICGC数据库。HCC 患者的拷贝数变异数据也从 TCGA 队列下载。
2.RAPGEF2基因在肝细胞癌中的表达分析;
3.RAPGEF2基因缺失对肿瘤免疫微环境的影响;
4.湿实验探究RAPGEF2基因基因对肿瘤进展的影响;
5.基于RAPGEF2基因相关基因构建风险模型并评估。
研究结果
肝细胞癌中 RAPGEF2 表达的估计
从 TCGA 数据库中筛选,Kaplan-Meier 曲线表明 RAPGEF2高表达的患者比 RAPGEF2 低表达的患者在 HCC 中的生存期更长(P = 0.001);RAPGEF2 缺失患者的 OS 比正常人更长。
评估 RAPGEF2 在HCC肿瘤免疫微环境和癌症免疫治疗反应中的作用
分析了免疫微环境不同的评估指标与 RAPGEF2 缺失之间的关系,如免疫细胞的募集、TMB、TIDE 和免疫治疗的反应。RAPGEF2缺失组募集自然杀伤(NK)细胞和肿瘤浸润淋巴细胞(TILs)的能力较正常组弱,并且RAPGEF2缺失组的TMB低于正常。对于免疫治疗, RAPGEF2 缺失组的TIDE 值较高,免疫反应能力下降。
RAPGEF2 敲低促进肿瘤生长并抑制 CD56+ NK 细胞的浸润
为了进一步发现 RAPGEF2 对体内 HCC 进展的潜在影响,建立了稳定表达对或 RAPGEF2 shRNA 的人 MHCC97 HCC 细胞,其中 RAPGEF2 蛋白被成功敲除。并将具有或不具有 RAPGEF2 敲低的 MHCC97 细胞植入 BALB/C nu/nu 小鼠。结果表明沉默 RAPGEF2 会促进肿瘤生长和增加的肿瘤重量。HCC 细胞中的RAPGEF2 敲低,减少了 MHCC97 异种移植肿瘤中肿瘤浸润性 CD56+ NK 细胞的募集。
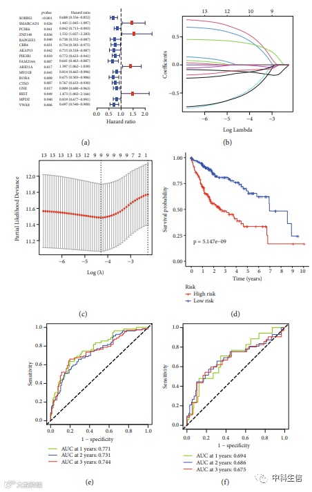
基于 RAPGEF2 相关基因构建和验证 HCC 风险模型
使用单变量 Cox 和LASSO回归分析在 TCGA 中筛选了 RAPGEF2 相关(差异基因)的预后基因(相关系数 > 0.5),并构建风险模型。ROC评估模型,ICGC数据集对模型进行验证。
不同风险程度个体的免疫浸润和免疫治疗反应
检查风险评分、免疫状态和免疫疗法之间的关系,结果表明,高风险组患者的 NK 细胞计数低于低风险组。在 ICB 响应中,高风险组患者的 TIDE 值高于 TCGA 数据库中的低风险组患者,高风险组患者的免疫治疗反应更差。这两个方面的结果均在 ICGC 数据库中得到验证。
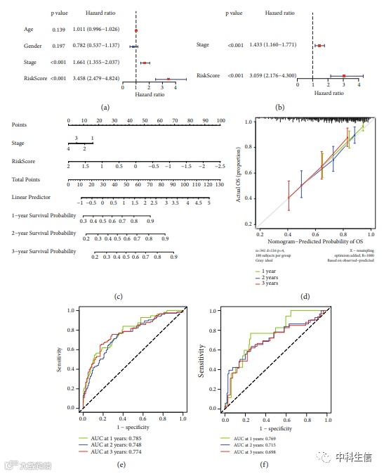
预测列线图的构建和验证
使用临床变量进行单变量和多变量 Cox 回归分析构建预后模型并构建列线图。校准曲线显示 1、2 和 3 年的预期 OS 和观察到的 OS 高度一致。同时,ROC 曲线表明模型具有良好的预测能力并在 ICGC 数据库中进行了验证。
微信号|中科生信

