大家好!今天小编和大家分析一篇23年11月发表在J Neurol Neurosurg Psychiatry(IF:10.01)杂志的文章《Systematic druggable genome-wide Mendelian randomisation identifies therapeutic targets for Alzheimer's disease》。阿尔茨海默病(AD)是痴呆症的主要原因。目前,没有有效的AD疾病修饰治疗。孟德尔随机化(MR)已被广泛用于重新使用许可药物和发现新的治疗靶点。因此,本研究的目的是确定新的治疗AD的靶点,并分析其病理生理机制和潜在的副作用。
本研究的总体设计:首先,确定了可药物化的基因。其次,进行双样本MR以估计血液和脑可药用eQTL对AD的因果作用。然后,进行共定位分析,以验证表达式的IV的稳健性,并进行了重复和验证研究。第三,利用可用GWAS数据识别AD生物标志物。随后,评估AD生物标志物先后表达的因果关系以探索可能的机制。最后,通过全表型MR评估了靶向先前可药用基因产物用于AD治疗的潜在副作用。(AD,阿尔茨海默病;MR,孟德尔随机化;eQTL,表达数量性状位点;GWAS,全基因组关联研究)

图1 总体研究设计
背景
阿尔茨海默病(AD)是最常见的神经退行性疾病,是认知障碍和痴呆的主要原因。估计有650万年龄超过65岁的美国人患有AD。 到2060年,这一数字可能达到1380万。作为一种年龄依赖性疾病,由于世界人口的迅速老龄化,AD对公共卫生构成威胁。在过去的三十年中,在全球范围内观察到AD负担的增加趋势。AD患病率的迅速增加以及社会和经济负担的迅速增加,促使人们迫切需要对AD进行有效的干预和治疗。
然而,AD治疗仍然具有挑战性。首先,只有少数药物可用于AD。其次,大多数批准的药物通过仅靶向少数特定分子靶点来发挥其治疗作用。例如,几乎所有的抗痴呆药物都是通过抑制胆碱酯酶或多巴胺能通路来发挥其治疗作用的。最后,抗痴呆药物除了有益的治疗效果外,还有相当大的副作用,包括恶心、呕吐、食欲不振、头痛和便秘。重要的是,这些抗痴呆药物不能治愈或延缓AD进展,它们只能提供对症治疗。在过去的几十年中,人们一直在努力探索改善AD疾病的治疗方法,但进展甚微。大多数针对淀粉样蛋白β(Aβ)、聚集的tau蛋白或神经元缠结的药物可能会延缓疾病进展,但没有实质性证据表明这些药物对临床有益。幸运的是,大规模的人类遗传学研究为许多复杂疾病的新药开发提供了机会,因为由遗传学证据支持的药物靶点在药物发现管道中获得成功的几率更大。然而,由于许多已鉴定的SNP位于非编码区或基因间区,因此全基因组关联研究无法明确直接地提供有关致病基因和药物靶点的线索。
孟德尔随机化(Mendelian randomisation,MR)是一种用于评估可改变的暴露或风险因素与临床相关结局之间因果关系的方法。MR分析已被广泛用于重新使用许可药物,并通过整合疾病GWAS和表达数量性状基因座(eQTL)研究的汇总数据发现新的治疗靶点。基因的表达水平可以被看作是一种终生暴露,位于可药用基因的基因组区域的eQTL通常被认为是替代物。
因此,我们进行了系统的可药用全基因组MR分析,以确定AD的治疗靶点。首先,进行双样本MR分析,以估计血液和大脑中可药用eQTL对AD的因果效应。其次,进行了共定位分析,以验证表达工具变量(IV)的稳健性,并使用不同的血液和大脑eQTL数据源进行了重复研究,以验证所识别的基因。第三,评估已鉴定基因与已确定的AD标记物之间的因果关系,以探索这些基因参与AD发病机制的可能机制。最后,利用全表型MR评估了已发现的可药用基因对AD治疗的潜在不利影响。
方法
1.对已确定的可药用基因进行了双样本MR整合,以估计血液和大脑中可药用表达定量性状位点(eQTL)对AD的因果效应。
2.使用不同的血液和大脑 eQTL 数据源进行了重复研究,以验证已确定的基因。
3.利用AD标记物与现有的全基因组关联研究数据,评估了已建立的AD标记物之间的因果关系,以探索可能的机制。
4.最后,使用全表型MR评估可用于AD治疗的可药物化基因的潜在副作用。
研究结果
1.可药用基因的鉴定
利用DGIdb v4.2.0(https://www.dgidb.org/)中的数据,确定了3953个潜在的可药用基因。此外,从综述11中获取了4463个可药用基因。最后,从上述两个来源中汇总了5883个具有人类基因组组织基因命名委员会名称的独特可药用基因,以作进一步分析(附表6)。

2.AD的候选药物基因
利用脑组织和血液中的eQTL与可药用基因进行交叉,以获得可药用eQTL。去除TSS中超过±100 kb的SNPs后,所有原始显著的脑eQTL(FDR<0.05)包含14653个基因符号。 与可药用基因组重叠后,获得了脑可药用eQTL作为暴露量,包含4422个基因符号。将SNP聚类后,剩下3021个基因用于运行MR。剔除与AD直接相关的SNP后,使用Wald ratio或IVW方法进行FDR调整(FDR<0.05),确定了21个AD候选可药用基因(图2A)。关于血液eQTL,通过运行与脑eQTL相似的标准,获得了血液中可药物治疗的eQTL暴露,包括2860个基因符号,以进行MR分析。结果,发现了12个潜在的药物靶标(图2B和C)。

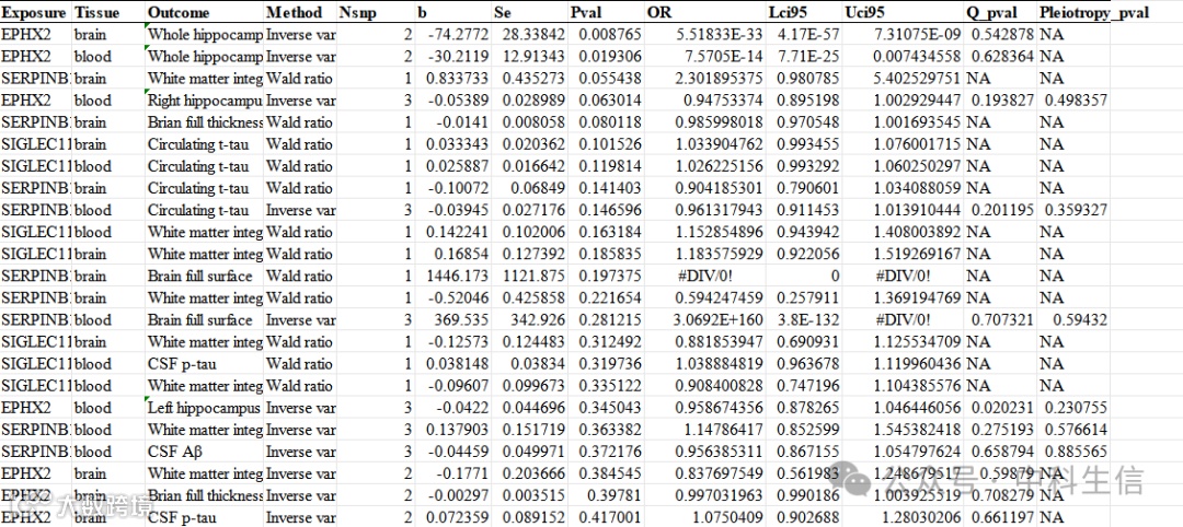
3.AD药物易感基因与标志物的关联
发现血液和脑EPHX2可能与整个海马体积相关(未校正的p值分别=0.019和0.0088)(附表15)。 然而,在三个先前的可药物化基因(EPHX2、SERPINB1和SIGLEC11)与上述AD标志物之间没有发现关联。此外,使用标记物GWAS作为暴露量,AD作为结局,我们观察到只有整个脑表面影响AD结局(未校正p值=0.00869)(附表16)。


4.AD既往可用药基因的全表型MR分析
由于大多数药物通过血液循环发挥作用,因此作者评估了血液中的三种AD相关表达对其他适应症是有利还是有害。因此,在SAIGE V.0.29中对783种非AD疾病或性状进行了更广泛的MR筛查。总体而言,尽管我们观察到了一些趋势,但使用IVW方法(图3和附表17)未发现显著相关性(FDR<0.05)。较高的血液EPHX2水平可能对高血压慢性肾病有益(OR 0.73,p=0.00027)(图3和附表18)。此外,高水平的SERPINB1会垂体功能紊乱和下丘脑控制功能失调(OR 1.67,p=0.0023)(图3和附表19)。血液SIGLEC11水平最有可能与根尖周脓肿相关(OR 0.74,p=0.0025)(图3和附表20)。


