今天小编和大家分享一篇2024年10月发表在Frontiers in Immunology(IF:5.7)期刊的文章《Comprehensive analysis of lactylation-related gene sets and mitochondrial functions in gastric adenocarcinoma: implications for prognosis and therapeutic strategies》。
胃腺癌(Gastric adenocarcinoma,STAD)具有高度异质性和侵袭性的特点,导致全球范围内预后不良。本研究通过整合大规模基因组数据集(包括TCGA和多个GEO数据集),探讨了乳化相关基因集和线粒体功能在STAD中的预后意义。利用空间转录组学和单细胞RNA测序来划分肿瘤微环境并评估肿瘤内细胞反应的异质性。此外,还确定了STAD中与独特生存结果和免疫特征相对应的不同分子亚型,使分子分类超越了目前的范例。结合这些分子标记物的预后模型在多个验证数据集上显示出优于现有模型的预测能力。此外,对免疫图谱的分析表明,乳酸化的变化会影响免疫细胞的浸润和反应性,从而为定制免疫疗法方法指出了新的途径。这些全面的见解为靶向治疗策略奠定了基础,并强调了代谢和免疫调节在改善STAD治疗效果方面的潜力。
背景
胃癌(Gastric cancer,GC),尤其是STAD,是全球面临的一项重大公共卫生挑战。它是全球第五大常见癌症和第三大癌症相关死亡原因。肿瘤的侵袭性和疾病的晚期诊断是导致其死亡率的主要原因。尽管手术方法和系统疗法有所改进,但晚期STAD患者的预后仍然很差,五年生存率很低。文中不仅关注了STAD,还纳入了肺腺癌和尿路上皮癌的GEO数据集,以探讨不同癌症类型中观察到的乳化相关基因表达及其对免疫反应的影响是否一致。这项比较分析旨在更广泛地了解乳化作用在癌症生物学中的作用。在已发现的乳化相关基因中,PTMA因其与线粒体功能障碍的显著相关性及其在胃腺癌中的预后价值而被选作进一步的实验验证。PTMA在免疫调节和癌症进展中的作用使其成为了解乳化对癌症生物学影响的分子机制的一个很有希望的候选基因。
这项研究的一个重要方面是研究通过翻译后修饰(PTMs)(如乳化)对基因表达进行调控的问题,乳化在癌症生物学中的作用最近已得到认可。乳化是PTMs列表中相对较新的一种,它与新陈代谢、免疫反应和基因表达调控等多种细胞过程有关。在STAD中探索乳化相关基因集可能有助于发现胃癌病理生理学的新方面,并确定有希望的治疗靶点。
此外,肿瘤微环境(TME)包括一系列复杂的成纤维细胞、免疫细胞和其他基质元素,在胃癌的进展和治疗反应中起着至关重要的作用。空间转录组学和单细胞RNA测序(scRNA-seq)等现代方法提供了对肿瘤微环境(TME)的全面分析,为了解肿瘤内部细胞的可变性和动态相互作用提供了宝贵信息,而这些正是导致癌症进展和耐药性的原因。
在这种情况下,基因表达谱的预后价值日益得到认可。根据不同的基因表达建立可靠的预后模型,可以大大改善对患者的分层,从而采取有针对性的治疗策略。此外,随着免疫疗法作为一种强大的癌症治疗方式的出现,了解STAD的免疫格局与其分子亚型之间的相互作用可指导开发更有效的基于免疫的疗法。
然而,尽管取得了这些技术进步,将分子研究结果转化为临床实践的速度仍然缓慢,对患者生存的影响也不大。这凸显了继续研究胃癌分子机制的必要性,利用最新技术缩小台架研究与床边应用之间的差距。
方法
1.获取和处理转录组数据
2.获取和处理单细胞和空间转录组学数据
3.细胞注释分析
4.获得乳化基因集和线粒体途径
5.预后基因鉴定和共识聚类分析
6.SNV分析
7.细胞通讯分析
8.差异基因分析和富集分析
9.建立肿瘤相关风险特征
10.基于机器学习的集合方法生成的风险特征
11.免疫疗法反应预测、IPS 分析和免疫检查点分析
12.肿瘤免疫浸润分析
13.药物敏感性分析
14.患者和样本
15.细胞培养和转染
16.实时PCR
17.细胞增殖试验
18.细胞凋亡
19.细胞迁移和侵袭试验
20.伤口愈合试验
21.Western印迹
22.统计分析
结果
(一)目标基因组的特征




热图显示了332个乳化相关基因与170个线粒体相关基因组之间的相关性(图2-A)。共有304个乳化相关基因被鉴定为与肿瘤微环境调控、免疫反应调节、细胞增殖和凋亡、代谢重编程以及患者预后的潜在预后标志相关。随后,利用来自TCGA、GSE55696和GSE79973的数据分析了它们在肿瘤和邻近正常组织之间的表达差异(图2-B),在至少一个数据集中鉴定出280个差异表达基因。接着,生成了这些差异基因在TCGA、GSE55696和GSE79973中表达相关性的热图(图2-C)。最后,这些基因在TCGA中进行了单变量Cox分析,使用了另外五个GEO验证数据集,并构建了森林图(图2-D)。最终选出了12个预后基因,它们至少在三个数据集中显示出预后意义。
(二)功能表征和分子亚型分析



利用非负矩阵因式分解(NMF)算法,对12个预后基因进行了一致的聚类。聚类结果表明,分为三组是最合适的。图中显示了三组的一致性聚类热图和生存分析结果,C1组和C3组之间存在显著的生存差异,其中C1组与较差的预后相关(图3-A)。进一步分析比较了三组患者的年龄、性别、分期、病理分级等临床指标构成,发现差异无统计学意义(图3-B)。还对TCGA与NMF分组的免疫亚型进行了比较(图3-C)。由于C1和C3之间存在明显的生存差异,因此进行了差异基因分析(图3-D)。针对上调基因和下调基因分别进行了基因富集分析,重点关注与C1和C3相关的功能(图3-E)。计算了这些基因富集的通路与12个乳化基因相关的ssGSEA分数,并进行了相关热图分析(图3-F)。
(三)功能表征--单细胞和空间转录组学



显示了单细胞数据的细胞分类结果,使用AUCell软件包中的12个预后基因计算每个细胞的泌乳素化得分。与上皮细胞相比,被归类为基质细胞(包括成纤维细胞和肿瘤微环境中的其他支持性组织类型)的细胞表现出更高的泌乳素化得分。AUCell软件包中的AUCell_exploreThresholds 功能用于确定阈值并将细胞分为两组。我们进行了差异基因和富集分析,以探索这些组之间的功能差异(图4-A)。我们展示了空间转录组学样本的分析结果,显示了免疫细胞、上皮细胞和基质细胞的分布差异。我们还计算了空间样本的乳酸化得分,发现乳酸化程度较高的区域主要在基质区域,这与单细胞的结果一致(图4-B)。结果表明,上皮细胞与乳化评分呈负相关,而免疫细胞和基质细胞呈正相关。随后,对高泌乳素化组进行了功能富集分析(图4-C)。
(四)基于差异基因建立预后模型




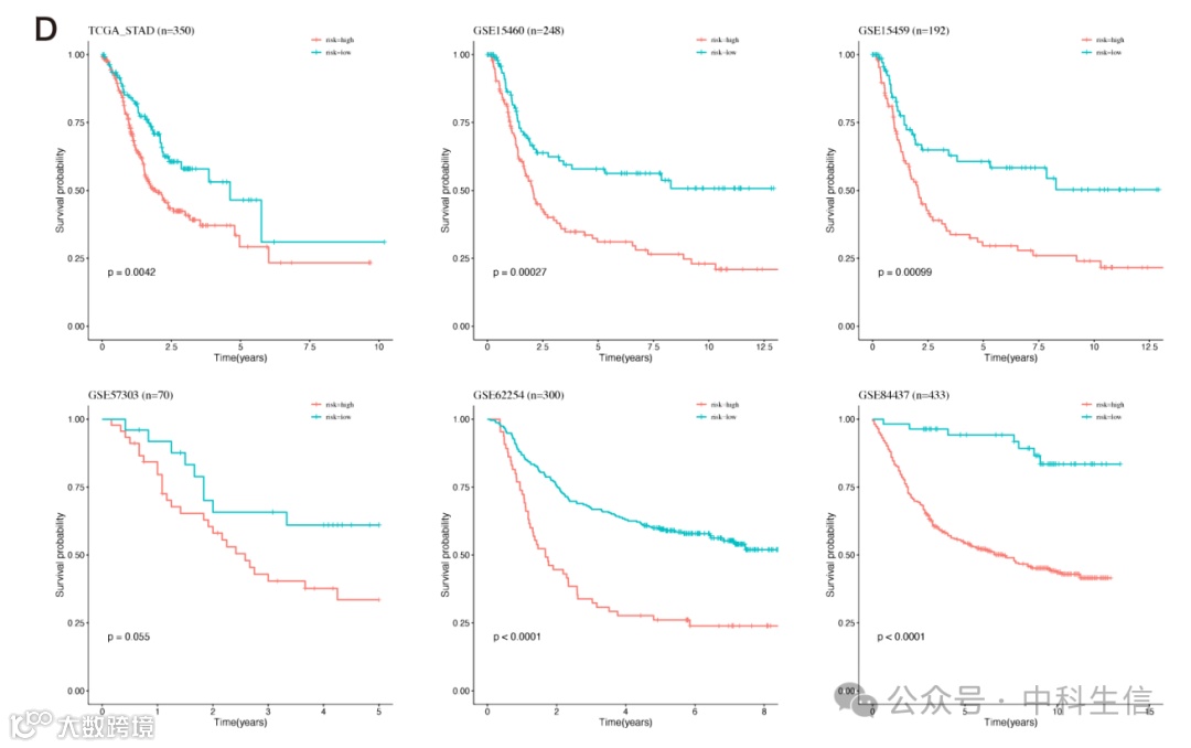
利用这12个预后基因,101种算法被用来建立模型;训练集是TCGA,测试集是五个GEO数据集。根据五个测试集的平均C指数确定的最佳模型是RSF+SuperPC(图5-A)。使用六个数据集计算了1年、3年和5年的AUC值(图5-B)。条形图显示了不同数据集最佳模型的C指数(图5-C)。六个数据集的生存分析结果表明,高风险组的预后较差(图5-D)。
(五)预后模型比较




六组数据集的风险图和PCA图显示(图6-A,B)。随后,我们将风险评分与其他临床指标进行了比较,发现风险评分的C-index优于大多数临床指标(图6-C)。然后,我们收集了最近1-2年内发表的15个预后模型,并比较了它们的C指数。虽然我们的预后模型在TCGA队列中的表现并不是最好的,但在其余五个测试数据集中,它的表现普遍优于其他大多数模型(图6-D)。
(六)建立提名图模型



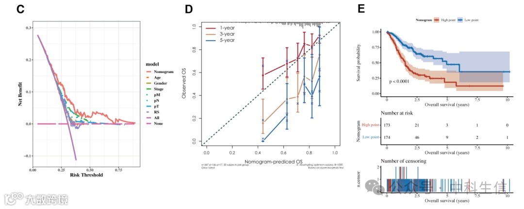
风险评分和临床指标的单变量和多变量分析结果(图7-A)及相应的森林图。包含风险评分和临床指标的提名图显示(图7-B)。决策曲线分析(DCA)显示,与其他临床指标相比,提名图和风险评分的结果显示出更优越的性能(图7-C)。图中显示了1年、3年和5年的校准曲线(图7-D)。使用提名图评分进行的生存分析发现,评分越高,预后越差(图7-E)。
(七)肿瘤免疫浸润和TMB分析


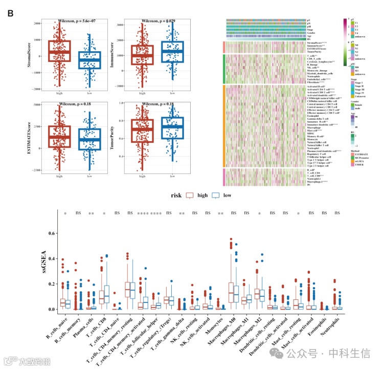
显示了三个NMF分类组的风险值,显示出显著差异(图8-A)。风险评分与分子特征数据库(MSigDB)中的“50个标志基因集”之间进行了相关性分析,这些基因集代表了不同的生物状态和过程,通常用于评估癌症研究中的通路活动(图8-A)。利用突变数据计算了肿瘤突变负荷(TMB),结果显示风险组之间存在显著差异(图8-A)。图中显示了两组间基质、免疫和ESTIMATE评分的差异。使用CIBERSORT算法描绘了组间免疫细胞浸润的差异。使用MCP-counter和TIMER等其他算法进一步估算免疫浸润水平,将其与风险评分相关联,并使用热图显示(图8-B)。
(八)免疫疗法分析和药物敏感性分析



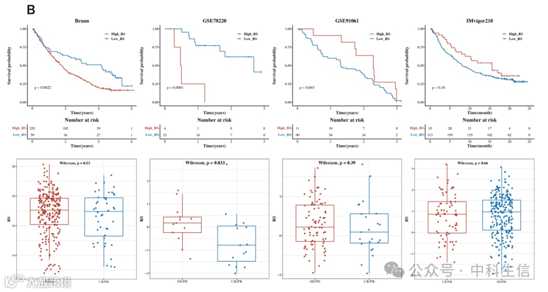
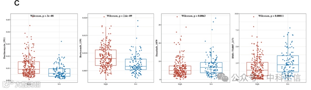
免疫评分与常用的免疫检查点基因之间进行了相关性分析,结果显示两者大多呈负相关。使用TCGA数据集,利用TIDE算法预测免疫反应情况。结果显示,两个风险组的反应构成存在明显差异,无反应组的风险得分更高。结合免疫表型评分(IPS)的结果表明,低风险组的IPS评分较高(图9-A)。包括GSE91061(肺腺癌)、GSE78220(肺腺癌)、IMvigor210(尿路上皮癌,UC)和 Braun(肾细胞癌,RCC)在内的数据集的生存分析结果与两个免疫反应组的风险评分一起显示出来(图9-B)。药物敏感性分析表明,硼替佐米_1191和Dactinomycin_1911对低风险组敏感,而Dasatinib_1079和BMS-754807_2171对高风险组敏感(图9-C)。对肺腺癌和尿路上皮癌的GEO数据集的分析表明,免疫细胞浸润和反应性与乳酸化相关基因表达的趋势相似,这表明这些变化可能具有超越STAD的更广泛影响。这些发现支持了一种假设,即乳化作用可能在调节不同癌症类型的肿瘤免疫微环境中发挥普遍作用。
(九)单细胞高预后风险细胞和低预后风险细胞的细胞通讯差异


在单细胞RNA测序数据集GSE184198中,使用风险模型为每个细胞计算风险分数,并使用中值对细胞进行分组。然后进行了Cellchat细胞通讯研究,以比较两组之间的差异(图10)。图中显示了上皮细胞、髓样细胞、T细胞和NK细胞在组间通讯方面的差异。
(十)PTMA在组织和细胞中的表达

根据我们的差异基因表达分析,与邻近的非癌组织相比,PTMA基因在胃癌组织中明显过表达。在已确定的12个预后基因中,大多数都属于最初的304个乳化相关基因和线粒体相关基因。然而,PTMA虽然不在最初的332个乳化相关基因或170个线粒体相关基因之列,但却被确定为12个预后标志物之一,因为它与线粒体功能障碍及其在癌症进展中的作用有显著关联,这一点是通过单变量Cox分析确定的。随后从临床样本中提取的RNA证实了PTMA在肿瘤组织中的表达升高,如图1-A所示。此外,还测定了四种胃癌细胞系(AGS、NCI-N87、BGC-823和MKN45)和正常胃黏膜细胞系GES-1中PTMA的表达。结果与在人体组织中观察到的趋势一致,表明胃癌细胞中PTMA的表达较高(图1-B)。这些结果表明,PTMA基因在胃癌中高表达。
(十一)沉默PTMA可抑制胃癌细胞的恶性行为



PTMA基因是已确定的12个预后标志物之一,与正常组织相比,它在胃癌组织中明显过表达。功能测试表明,PTMA基因敲除会导致胃癌细胞增殖减少、凋亡增加、迁移和侵袭减少,这与生物信息分析预测的其在调节肿瘤行为中的作用一致。为了探索PTMA基因在STAD中的作用,我们选择了MKN45和NCI-N87两种细胞系,并敲除了PTMA基因(图11-A)。如图11B、C所示,PTMA基因敲除后,两种胃癌细胞系的增殖能力在所有时间点都明显下降。图11D表明,PTMA基因敲除后,肿瘤细胞的凋亡率明显增加。此外,根据Western印迹数据(图11-E),PTMA敲除后促进细胞凋亡蛋白Bax和c-caspase3的表达明显升高,而抑制细胞凋亡蛋白Bcl-2的表达降低。这表明PTMA敲除可促进胃癌细胞的凋亡。
在Transwell侵袭和迁移试验中(图12-A),PTMA敲除的MNK45的侵袭和迁移能力明显下降。伤口愈合试验(图12-B)也显示PTMA敲除后迁移能力明显下降。Western blot数据显示,PTMA敲除后,Vimentin蛋白表达减少,E-cadherin蛋白表达增加(图12-C)。这些结果有力地表明,抑制PTMA的表达与胃癌细胞的恶性行为呈负相关。


