今天小编分享一篇2022年5月27日发表在Genes (Basel)的文章(IF :4.141),题目为“Exploring the Core Genes of Schizophrenia Based on Bioinformatics Analysis”。
背景和方法
背景:先前的研究表明,精神分裂症具有坚实的遗传特征。然而,精神分裂症的诊断主要取决于症状表现,目前没有基因可以作为明确的诊断标志物。
方法:
1、从 GEO 数据库下载GSE53987,GSE21138和GSE27383
2、GEO2R是NCBI的在线分析工具,用于筛选出显着的基因表达差异。
3、通过GO和KEGG富集分析对基因进行了功能富集。
4、通过Cytoscape软件对hub基因进行了探索,并对筛选出的hub基因进行了免疫浸润分析和诊断价值。
结果
1、差异基因的筛选
精神分裂症患者与健康对照个体间差异基因的筛选(图1)。(A)GSE53987;(B) GSE21138;(C) GSE27383。3个GEO数据集的DEG维恩图。A)上调基因。(B)下调基因。
图1
图2
2、GO和KEGG富集分析
上调的DEG和下调的DEG的重要GO术语(图3)。DEG 的重要 KEGG 通路(图4)。
图3
图4
3、PPI网络构建和hub基因的鉴定
DEGs构建的蛋白质-蛋白质相互作用网络(图5)。用10个hub基因和其他DEG构建的蛋白质-蛋白质相互作用网络(图6)。由 MCODE 提取的关键模块(图7)。
图5
图6
图7
4、Hub基因的GO分析
对筛选出的4个hub基因进行了GO富集分析,结果显示在图8。
图8
5、免疫浸润分析
使用CIBERSORTx在线分析工具分析了29名精神分裂症患者和30名健康个体的脑组织样本中22个免疫细胞的浸润。结果显示在图9。22例精神分裂症患者与健康人免疫细胞的比较(图10)。
图9
图10
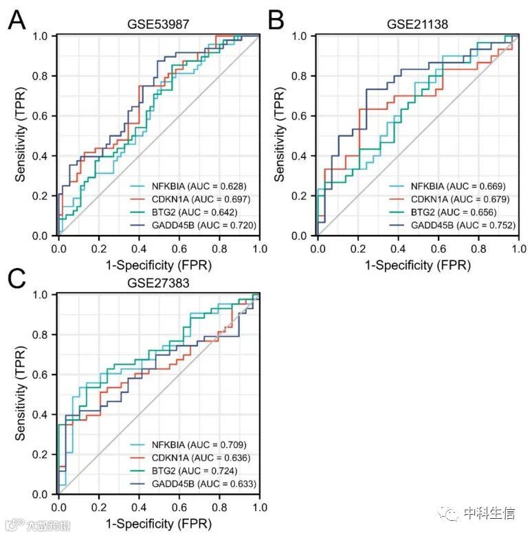
6、Hub基因的诊断评估
对来自三个数据集的4个中心基因进行诊断评估(图11)。(A) GSE53987; (B) GSE21138; (C) GSE27383。
图11
结论:
基于生物信息学方法,这是第一项发现与精神分裂症密切相关的四个hub基因(NFKBIA,CDKN1A,BTG2和GADD45B)的研究。富集分析和免疫浸润分析表明,上述基因可能通过调节细胞的遗传过程或影响免疫环境而导致精神分裂症的发作。然而,考虑到精神疾病在生物信息学分析中的局限性,将这种基于GEO数据库的生物信息学方法应用于精神疾病还存在一些缺陷。
·ZKSX ·

