早!今天小编和大家分享一篇刚刚发表在Oxid Med Cell Longev杂志(IF:7.31)杂志的文章《Identification of Key Genes and Pathways Associated with Oxidative Stress in Periodontitis》。作者将PPI和相关性结合筛选关键基因,并运用机器学习构建了风险模型。这个筛选关键基因的思路我们也可以借鉴哦。下面我们就来看看文中做了哪些分析吧!
1
背景&方法
背景:
牙周炎是一种最常见的炎症,其特征是骨骼和附着的破坏,现已成为成年人牙齿脱落的主要原因。目前,描述牙周炎发展的明确机制仍然知之甚少,这使得该疾病的早期预防和控制变得困难。
有研究提出,氧化应激(OS)在牙周炎的发病机制中起重要作用,牙周炎患者的龈沟液、唾液和血浆中的氧化应激标志物水平升高,牙周炎引起的氧化应激可以触发促炎机制,重要的是破骨细胞生成,然后导致在牙周炎患者中观察到的骨质流失,然而,牙周炎中涉及氧化应激的确切病理生理机制尚未完全解释。因此,本研究旨在从生物信息学分析的角度找出牙周炎的关键OS基因,为牙周炎的进一步研究提供参考。
方法:
1.数据集来自GSE10334和GSE16134。
2.差异基因的筛选:limma 包进行差异表达分析。|log2FC| > log2 1.5 和P值 < 0.05 作为识别牙周炎差异表达基因(DEGs)的阈值。
3.OS基因的鉴定:从GeneCards中共提取了相关性得分≥7 的1119个OS 基因。OS 基因与DEGs 的交集是牙周炎中氧化应激相关的差异表达基因(OS-DEGs)。
4.OS-Genes 的GSEA富集分析:对1119个OS基因进行GSEA富集分析。
5.OS-DEGs的相关性分析:Pearson 相关性分析每两个 OS-DEG 之间的相关性。
6.PPI网络构建和hub基因分析:将上调和下调的 OS-DEG 导入 STRING 数据库以获得 PPI 网络。使用cytoHubba插件将 PPI 网络的 TOP 20 中枢基因鉴定为hub基因。
7.关键hub基因的鉴定:将配对基因数量最多的前 20 个 OS-DEG 与前 20 个hub基因相交,并将相交的基因定义为关键 hub基因 基因。
8.对OS 基因进行GO和KEGG富集分析。
9.分析关键hub基因与氧化应激生物标志物的相关性。
10.风险评分的构建:使用逻辑回归构建患者的风险评分公式。
2
研究结果
牙周炎DEGs的识别
样本归一化后,鉴定出 623 个 DEGs,其中上调基因 405 个,下调基因 218 个。
OS基因的GSEA
对1119 个 OS 基因进行 GSEA分析,背景基因集来自Hallmark和KEGG。
OS-DEGs的识别和富集分析
对OS基因和DEGs取交集,筛选出牙周炎OS-DEGs基因74个,其中上调基因65个,下调基因9个,并对OS-DEGs进行GO和KEGG富集分析。
OS-DEGs的相关性分析
在牙周炎中共鉴定出 203 对 OS-DEG(P值 < 0.05,| r | > 0.7)。其中,PECAM1、CD79A和NCF4拥有20多个配对基因。对配对基因数量最多的前20个OS-DEGs进行GO和KEGG富集分析。
Hub OS-Genes的鉴定和富集分析
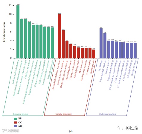
对OS-DEGs进行PPI分析,并前 20 个hub OS 基因进行GO和KEGG富集分析。
关键hub基因的鉴定
对前 20 个hub OS 基因和前 20 个配对 OS 基因的交集揭示了 6 个关键 OS 基因,包括 CXCR4、SELL、FCGR3B、FCGR2B、PECAM1 和 ITGAL,即为关键hub基因。
关键hub基因的功能富集分析
对关键hub基因进行GO和KEGG富集分析。
关键hub基因与氧化应激生物标志物的相关性分析
6 个关键hub基因主要与氧化生物标志物相关,但与抗氧化生物标志物无关。
关键hub基因的风险模型构建
单因素和多因素逻辑回归对关键hub基因进行筛选并构建风险模型,风险评分 = CXCR4 × 2.91 + FCGR2B × (-1.75) + PECAM1 × 6.41 + ITGAL × (-1.93) + FCGR3B × 1。ROC显示模型具有较好的性能。
微信号 / 中科生信
提供“一站式”科研定制服务

