早!今天小编和大家分享一篇21年8月发表在J Orthop Surg Res杂志的文章《Comprehensive analysis of metabolism-related lncRNAs related to the progression and prognosis in osteosarcoma from TCGA》。现在,很多疾病都进行了整体代谢方向的生信挖掘,今天分享的这篇文章利用TCGA数据库中的转录组数据,提取和鉴定骨肉瘤中所有代谢相关的mRNA和lncRNA,并构建了以代谢lncRNA为预后因子的预后特征。下面就一起来看看吧!
背景&方法
骨肉瘤(OS)是儿童和青少年中最常见的恶性肿瘤之一。研究表明,骨组织的生长与骨代谢密不可分。骨代谢异常可导致骨生长失控或分化异常,进一步导致骨瘤或骨肉瘤代谢相关途径对骨肉瘤的发生和转移至关重要。长非编码RNA(lncRNA)以多种方式在癌症的发生和进展中起着关键作用。然而,骨肉瘤中代谢相关lncRNA的详细分子机制仍有待深入阐明。
方法:
1.265个骨肉瘤样本的所有转录数据均从TCGA数据库下载,从MsigDB的 c2.cp.kegg.v7.2.Symbols.Gmt获得940个代谢相关基因。
2.筛选代谢相关mRNA和代谢基因相关的lncRNA(MRlncRNAs)。
3.风险模型的构建:通过Kaplan-Meier生存期(P < 0.05)分析和单变量Cox回归生存率(P < 0.05)分析, LASSO和多因素cox回归构建风险模型。
4.代谢相关网络的构建:构建代谢基因和MRlncRNA的共表达网络。同样,还构建了具有预后特征的lncRNA和相关代谢基因网络。
5.单变量和多变量Cox回归分析筛选独立预后特征。
研究结果
MRlncRNAs的筛选
从TCGA-OS转录组数据获得935个代谢相关基因的表达数据,通过分析TCGA-OS的lncRNA与代谢基因的表达相关性,获得了335个与代谢基因高度相关的lncRNA(MRlncRNAs),构建了935个代谢基因和335个MRlncRNA的网络。
风险模型的构建和评估
通过Kaplan-Meier生存期(P < 0.05)分析和单变量Cox回归生存率(P < 0.05)分析,获得了15个与预后显著相关的lncRNA。LASSO和多因素cox回归构建了9个基因的风险模型。
代谢相关网络的构建
构建了935个代谢基因和335个MRlncRNA的共表达网络。同样,还构建了具有预后特征的lncRNA和相关代谢基因网络。
独立预后因素和临床分析
单因素和多因素cox回归分析确认风险模型是独立预后因素。此外,还分析了单个lncRNA对临床特征的潜在影响。
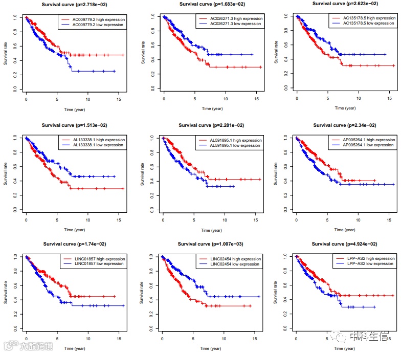
预后MRlncRNAs的生存分析
根据中位表达值将每个lncRNA分为高表达组和低表达组,并绘制生存曲线。
GSEA分析
根据中位数将风险评分分为高风险组和低风险组,并对所有样本进行GSEA分析,背景基因集为GO和KEGG。
构建列线图并进行PCA分析
结合临床数据和风险评分绘制了一个列线图,ROC曲线(AUC = 0.839)表明列线图具有良好的性能。对预后模型进行了主成分分析,结果表明,由这些lncRNA组成的预后特征在数据降维后可以精确区分患者属于低风险组还是高风险人群,它再次验证模型的准确性。
微信号|中科生信
提供“一站式”科研定制服务

