《The role of mitochondrial DNA copy numberin cardiometabolic disease: a bidirectional two-sample mendelian randomization study》是一篇于2.24年1月28日发表在《Cardiovasc Diabetol》的文章(IF=8+)。今天小编为大家解析一下如何利用双向两样本孟德尔随机化探究线粒体DNA拷贝数与心脏代谢疾病的因果关系。
背景:
线粒体在细胞的能量代谢、分化、增殖、重编程和衰老等过程中意义重大。线粒体DNA(mtDNA)编码多种RNA和多肽,mtDNA拷贝数能反映线粒体数量、功能障碍及mtDNA损伤情况。因其检测成本低且易获取,作为慢性疾病生物标志物备受关注。心脏代谢疾病是全球性健康难题,疾病负担不断加重,是全球死亡和残疾的主要诱因。过往研究发现,mtDNA拷贝数降低与心血管疾病风险增加有关,还和高血压、肥胖、糖尿病发病风险相关,大型横断面研究显示全血mtDNA拷贝数与多种心脏代谢疾病特征呈显著负相关。但mtDNA拷贝数与这些疾病之间是否存在因果关系尚不明确,心脏代谢疾病是否会反向影响mtDNA拷贝数也有待探究。
孟德尔随机化(MR)是一种利用受孕时随机分配的遗传变异,估计暴露对结局因果效应的方法,能避免混杂因素和反向因果关系的干扰。此前虽有研究借助MR设计探讨了mtDNA拷贝数与糖尿病、中风及其中风预后风险的因果关系,但mtDNA拷贝数与肥胖、高血压、高血脂、冠心病和心力衰竭等其他心脏代谢疾病的关联,以及除糖尿病和冠心病外其他疾病与mtDNA拷贝数的反向关系,运用MR设计的研究还比较缺乏。该研究通过双向两样本MR分析,评估mtDNA拷贝数与肥胖、高血压、高血脂等多种心脏代谢疾病发病风险之间的双向因果关系,有望为相关领域研究提供新的依据。
方法:
1.获取mtDNA拷贝数和多种心脏代谢性疾病的GWAS汇总统计数据
2.选择工具变量
3.通过MR分析中的广义逆方差加权(IVW)分析因果关系
4.敏感性分析
5.p值的Bonferroni 校正
研究结果:
1.工具变量的筛选
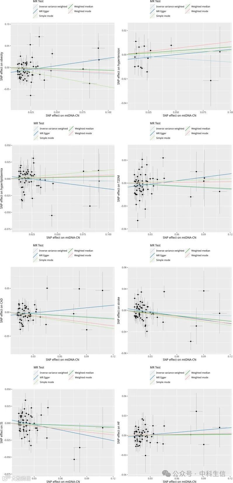
该研究发现,有66个在全基因组水平上与mtDNA拷贝数显著相关的单核苷酸多态性(SNP)用于主要分析。遗传工具变量与mtDNA拷贝数关联的F统计量为93.31(范围从29.54至473.58)。在剔除与空腹血糖和胰岛素相关的rs4841132、与身体质量指数(BMI)相关的rs7896518、与低密度脂蛋白和冠心病(冠心病)相关的 rs6511720 以及与血脂谱相关的rs8176645后,在mtDNA拷贝数与心脏代谢疾病的关联分析中,纳入了62个与mtDNA拷贝数相关的SNP。这些SNP解释了mtDNA拷贝数29.8%的变异。

2.遗传预测的mtDNA拷贝数与心脏代谢疾病的相关性
采用主要的IVW分析显示,基因预测的mtDNA拷贝数与肥胖(比值比OR=0.859,95%置信区间为0.699 - 1.055;P=0.148)、高血压(OR=0.941,95%置信区间(CI)为0.782-1.131;P=0.515)、血脂异常(OR=0.968,95%CI为0.828 - 1.132;P=0.684)、2型糖尿病(OR=0.962,95%CI为0.822 - 1.127;P=0.631)、冠心病(OR=0.901,95%CI为0.768 - 1.056;P=0.199)、中风(OR=0.917,95%CI为0.775 - 1.086;P=0.314)、缺血性中风(OR=0.962,95%CI为0.822 - 1.127;P=0.631)以及心力衰竭(OR=1.021,95%CI为0.917 - 1.135;P=0.708)均无关联。

使用加权中位数法、MR - Egger法和MR - PRESSO法进行的敏感性分析得出了类似的阴性结果,但有一个例外:在去除1个异常SNP后,线粒体DNA拷贝数与肥胖之间的因果关联在MR - PRESSO分析中接近统计学显著性(OR=0.790,95%CI为0.644 - 0.969;P = 0.028)。对于所有结局,MR - Egger截距均未显示出可能存在水平多效性的迹象。有统计学证据表明,在肥胖(P < 0.001)、2型糖尿病(2型糖尿病,P = 0.001)、冠状动脉粥样硬化性心脏病(冠心病,P < 0.001)、中风(P < 0.001)、缺血性中风(P = 0.001)和心力衰竭(P = 0.001)方面存在多效性,而在高血压和血脂异常方面未显示出多效性迹象,I²值范围为22.86% - 69.09%。

3.遗传预测的心脏代谢疾病与mtDNA拷贝数的相关性
在对心脏代谢疾病与线粒体DNA拷贝数关联的反向MR分析中,研究纳入了25个与肥胖相关的SNP、34个与高血压相关的SNP、27个与血脂异常相关的SNP、149个与2型糖尿病相关的SNP、41个与冠心病相关的SNP、12个与中风相关的SNP、19个与缺血性中风相关的SNP,以及12个与HF相关的SNP。这些与心脏代谢疾病相关的SNP所解释的方差范围为2.5%至46.6%。
没有有力证据表明肥胖、高血压、2型糖尿病、中风、缺血性中风、心力衰竭或缺血性卒中与线粒体DNA拷贝数存在关联,而血脂异常(β=-0.060,95% 置信区间为-0.044至-0.076;P=2.416×10⁻¹⁴)和冠心病(β=-0.021;95% 置信区间为-0.003至-0.039;P=0.025)与线粒体DNA拷贝数的因果关联显示出具有提示意义的统计学显著性。所有心脏代谢结局均未观察到水平多效性。



