今天和大家分享一篇发表在Int J Mol Sci(IF:6.208)杂志的文章Endocrine Disrupting Chemicals Influence Hub Genes Associated with Aggressive Prostate Cancer。
背景
前列腺癌 (PCa) 是世界上男性中最常被诊断出的癌症之一。由于对化学品的环境暴露如何导致侵袭性 PCa 的分子发病机制的了解不完全,其预防受到了限制。内分泌干扰化学物质 (EDC) 的环境暴露可能会模拟参与 PCa 发展的激素。
方法
1.使用六个 PCa 微阵列数据集,即GSE46602、GSE38241、GSE69223、GSE32571、GSE55945和GSE26126识别差异表达基因(DEG) 后,对 DEG 进行了(GO) 和KEGG 通路富集分析。
2.使用STRING数据库构建蛋白质-蛋白质相互作用网络,并通过 Cytoscape 进行可视化。
3.PCa 组织中 Hub 基因表达的数据集验证。
4.Hub基因的生存分析。
5.PCa 中的化学-基因相互作用分析。
研究结果
1、DEGs(上调和下调基因)的筛选
通过 PCa 的火山图识别 DEG(图1)。六个 GEO 微阵列数据集的火山图:(A):GSE46602,(B):GSE38241,(C):GSE69223,(D):GSE32571,(E):GSE55945,和(F):GSE26126。

维恩图对重叠DEG的鉴定(图2)。( A ) 来自 PCa 的六个 GEO 微阵列数据集的重叠 DEG,在六个 GEO 微阵列数据集中识别出 369 个 DEG;( B ) 确定了重叠的上调 (109) 和下调 (260) DEG。

2.PPI网络构建与模块分析
我们利用 STRING 数据库工具构建参与 PCa 预后的 DEG 的 PPI 网络(图3)。

这两个模块是从 DEGs 的PPI 网络使用MCODE生成的(图4)。( A ) Module-1:与31.9分相关,包括33个基因(节点)和511条边。( B ) Module-2:与 6.0 分相关,由 6 个基因(节点)和 13 个边组成。我们使用 Cytoscape 的 Cytohubba 插件确定了个12hub基因上调(NCAPG、MKI67、CCNA2、CCNB1、TPX2)和下调(CDK1、CCNB2、AURKA、UBE2C、BUB1B、CENPF、RRM)用于后续分析。

通过GeneMANIA 插件开发了一个用于hub基因及其对蛋白质/基因影响的相互作用网络(图5)。

3.PCa 组织中 Hub 基因表达的数据集验证
通过 TIME对来自癌症基因组图谱前列腺癌 (TCGA-PRAD) 的PCa (497) 和正常前列腺 (52) 组织之间的12 个hub基因表达进行差异分析(图6)。

4.Hub基因的生存分析
使用 GEPIA 在线工具,基于TCGA PCa 患者的12个hub基因的高表达或低表达,对总体生存 (OS) 进行预后生存分析(图7)。

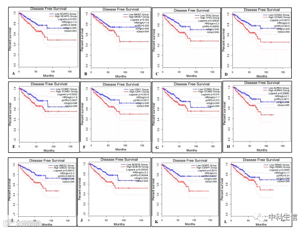
使用 GEPIA 进行基于TCGA PCa 患者的12个hub基因高表达或低表达的 DFS 预后生存分析(图8)。

使用 UALCAN 执行基于 Gleason 评分的基因表达对 TCGA-PRAD 患者生存的影响(图9)。

5.DEG 的化学-基因相互作用分析
有 50 种化学物质与 5 个上调的hub基因相关,186种化学物质与7个下调的hub基因相关。鉴定并列出了影响12 个hub基因的22 种重叠化学物质(图10)。在 22 种已识别的化学物质中,17 种被归类为公认的内分泌干扰物,一种化学物质具有致癌性。



