早!今天小编和大家分析一篇23年2月发表在Scientific Reports(IF:4.6)杂志的文章《Identification of Parkinson’s disease-associated chromatin regulators》。
作者从之前的研究中获得了870个染色质调节因子,并从GEO数据库中下载了PD患者的数据集。从蛋白质互作网络中获得20个关键基因,并分析了关键基因与PD免疫细胞和免疫功能的相关性,选择相关性绝对值大于0.4的5个(BANF1、PCGF5、WDR5、RYBP、BRD2)与PD免疫功能相关的基因。然后构建预测模型来预测发生PD的可能性,结果表明预测模型具有良好的预测效果。最后筛选出10种药物和12种miRNAs,为PD的治疗提供参考。因此,认为BANF1、PCGF5、WDR5、RYBP和BRD2与帕金森病的免疫过程相关,可预测帕金森病的发生,且有望成为帕金森病诊断和治疗的新靶点。
背景
帕金森病(PD)是一种常见的神经退行性疾病。PD的病因尚不清楚,现有的医学方法无法阻止疾病的进展。虽然目前尚无治愈PD的方法,但有效的治疗可以显着改善患者的生活质量。随着高通量测序数据的快速发展,很多疾病进入了分子诊疗阶段,也带来了治愈一些疑难杂症的可能。许多与帕金森病相关的生物标志物已经被发现:SNCA是第一个被发现与帕金森病相关的基因,SCNA突变增加了散发性帕金森病的风险。PRKN是一种常染色体隐性帕金森病相关基因。LRRK2是导致常染色体显性PD的相关基因。此外,许多生物标志物已被发现并用于帕金森病的治疗,这对改善帕金森病的诊断和治疗起着重要作用。然而,研究也表明,许多基因突变的影响可能与种族有关,这使得某些基因不能普遍适用于帕金森病的诊断和治疗。因此,迫切需要寻找更多的生物标志物。
CRs是一类具有特殊功能域的酶,能够以细胞环境依赖的方式识别、形成和维持表观遗传状态。CRs是表观遗传学中不可缺少的上游调控因子。根据其在表观遗传学中的调节作用,一般将CRs分为DNA甲基化因子、组蛋白修饰因子和染色质重塑因子三类。CRs的异常表达与炎症、凋亡、自噬、增殖等多种生物学过程有关,提示CRs的异常表达可能导致多种疾病的发生。因此,CRs有望成为治疗各种疾病的新靶点。目前,关于CRs与PD之间关系的研究较少。以期探讨两者之间的关系,为帕金森病的治疗提供新的思路。通过生物学分析,获得了与PD免疫相关的CRs,并预测了相关药物和miRNAs。
方法:
1.筛选差异基因:使用R软件筛选差异表达的CRs,绘制了热图和火山图,以可视化不同样本之间差异基因的表达情况。
2.基因本体(GO)分析和京都基因和基因组百科全书(KEGG)分析:对差异CRs进行基因本体(GO)分析和京都基因和基因组百科全书(KEGG)分析;以及进行蛋白质-蛋白质相互作用(PPI)分析:将差异表达的CRs提交到STRING数据库(http://www.string-db.org/),以获取基因相互作用的信息。之后用Cytoscape软件通过cytoHubba插件筛选出TOP20基因作为枢纽基因。
3.免疫细胞和免疫功能分析:为了了解PD患者样本与正常样本在免疫细胞表达和免疫功能方面的差异,利用ssGSEA算法计算了样本中免疫细胞的丰度和免疫功能,并绘制了热图。之后分析了免疫细胞与免疫功能的相关性,进而分析了正常样本与PD患者不同免疫细胞和免疫功能是否存在差异。
4.列线图的构造:对筛选的枢纽基因进行免疫细胞及免疫功能的分析,筛选出与免疫相关的基因。然后对与免疫相关的基因建立预测模型,预测相关基因与疾病发生的概率,并利用标准曲线评价模型的预测精度。
5.相关药物和miRNA的预测:将与免疫相关的基因上传至enrichment数据库(https://maayanlab.cloud/Enrichr/),并通过相关数据库预测相关药物和miRNA。
研究结果
鉴别差异表达的CRs
筛选了来自64个正常样本和29名PD患者的40个差异表达的CRs基因。差异CRs包括22个上调基因和42个下调基因,热图和火山图显示CRs表达差异(图1)。

差异CRs的富集分析和蛋白质-蛋白质相互作用(PPI)分析
对64个差异基因进行GO分析和KEGG分析。可以看到相应的生物学过程和相关途径中基因的富集。在GO分析中,可以看到CRs主要与生物过程有关,如组蛋白修饰、肽基赖氨酸修饰、肽基赖氨酸乙酰化、蛋白质乙酰化和蛋白质酰化(图2A)。在KEGG分析中,发现差异CRs主要参与FoxO信号通路、胰高血糖素信号通路、病毒癌变、细胞周期和产热过程(图2B)。通过PPI分析差异基因(图3A),并使用Cytoscape软件中的cytoHubba插件筛选Top 20 Hub基因(图3B)。


免疫细胞与免疫功能分析
使用ssGSEA算法得到PD患者样本与正常样本中相关免疫细胞和免疫功能的表达情况,然后分别分析两者间免疫细胞和免疫功能的相关性和差异(图4)。可以看到,在免疫细胞中,Th1细胞与中性粒细胞的相关性为0.68,TIL细胞与B细胞的相关性为0.55,说明它们具有较强的正相关性;而Th1细胞与肥大细胞的相关性为- 0.49,iDCs与TIL的相关性为- 0.45,两者具有较强的负相关关系(图5A)。在免疫功能的相关性分析中,Para炎症与I型IFN反应、T细胞共抑制与细胞溶解活性、checkpoint与T细胞共刺激之间存在较强的正相关,分别达到0.83、0.72、0.70。
MHC I类与II型IFN应答之间、T细胞共抑制与II型IFN应答之间、II型IFN应答与细胞溶解活性之间存在较强的负相关,分别达到- 0.48、- 0.45、- 0.44(图5B)。可以看到正常样本和PD患者在免疫细胞肥大细胞和免疫功能HLA上存在显著差异(P < 0.05)(图5C-D)。



列线图的构造
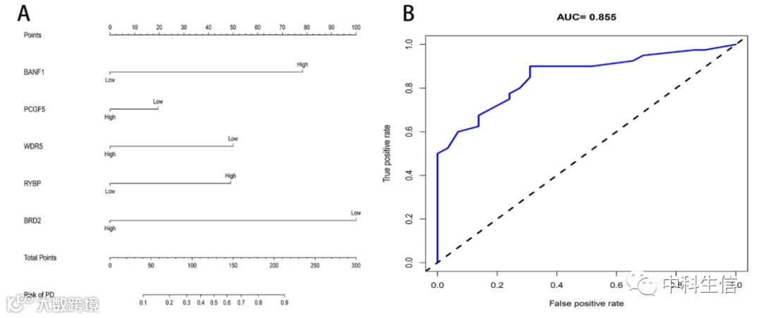
分析了20个hub基因与免疫细胞和免疫功能的相关性,最终根据相关性绝对值大于0.4的结果鉴定出5个基因(图6)。其中,BANF1与Th2细胞正相关,PCGF5与II型IFN反应正相关,与细胞溶解活性负相关,WDR5与T细胞共刺激负相关,RYBP与中性粒细胞和II型IFN反应正相关。BRD2与TIL呈正相关。然后构建预测模型,预测各种基因与PD的可能性(图7A-C)。从图中可以看出,BANF1、RYBP表达越高,发生PD的概率越高,PCGF5、WDR5、BRD2表达越高,发生PD的概率越低。标定曲线和受试者工作特性(ROC)曲线表明该模型具有良好的预测功能。



预测相关药物和miRNAs
将免疫相关枢纽基因上传到enrichment数据库,使用DSigDB数据库预测相关药物,使用TargetScan数据库预测相关miRNAs。得到112种相关药物(前十位见表1)和12种相关miRNAs(表2),并使用Cytoscape软件绘制网络图(图8)。





