大家好!今天小编和大家分享一篇24年2月发表在Journal of Translational Medicine (IF:7.4)杂志的文章《Tumor mutational burden predictability in head and neck squamous cell carcinoma patients treated with immunotherapy: systematic review and meta-analysis》。肿瘤突变负荷 (TMB) 已被证明可以预测各种癌症对免疫检查点抑制剂 (ICI) 的反应。然而,TMB 在头颈部鳞状细胞癌 (HNSCC) 中的作用尚未得到具体解决。由于 HNSCC 患者对 ICI 的反应相当有限,因此开发预测性生物标志物以改善患者选择标准和 ICI 治疗的临床益处的需求尚未得到满足。
背景:
头颈部鳞状细胞癌(head and neck squamous cell carcinoma, HNSCC)是头颈部的主要癌症,也是全球第六大最常见的恶性肿瘤。近几十年来,由于联合治疗方式(主要是手术、放疗和化疗),HNSCC患者的生存率仅略有提高。因此,迫切需要提高HNSCC患者的预后预测能力,制定有效的个体化治疗策略,并深入了解导致治疗反应/耐药和治疗失败的潜在机制。TMB 是指通过下一代测序 (NGS) 在肿瘤外显子组中检测到的每个兆碱基的非同义突变数。TMB升高对应于肿瘤细胞产生的新抗原增加,从而增强了免疫系统的潜在识别能力。TMB在癌症免疫治疗中的预测和预后价值已在某些特定癌症类型中得到验证,如非小细胞肺癌、黑色素瘤和结直肠癌。然而,TMB 对 HNSCC 患者的影响尚未得到具体和适当的解决。
方法:
该研究根据系统综述和荟萃分析的首选报告项目(Preferred Reporting Items for Systematic Reviews and Meta-analysis, PRISMA)报告指南进行了系统综述和meta分析。选择HNSCC队列研究,评估了ICI治疗前的TMB,并通过事件发生时间生存分析评估TMB的预后价值。本研究分析了1960篇文章中的11篇,包括1200例HNSCC患者。
研究结果:
1、搜索结果
我们的检索策略共检索到2985项研究,这些研究来自PubMed、Web of Science、EMBASE和Scopus数据库。然而,这些研究中有1960项是在去除重复项后筛选的。我们通过标题和摘要筛选排除了动物研究、综述、评论、病例报告、与该主题无关的研究和非英语语言研究。筛选出49项研究进行了进一步的详细评价。在通过全文综述进行全面评估后,我们删除了非临床试验或队列研究的研究,以及那些缺乏可提取数据或使用不同分析参数的研究。最后,本荟萃分析纳入了 2018 年至 2023 年间发表的 11 项研究。

2、研究特征
这项meta分析共纳入了1200例患者,每项研究的范围为10-257例患者,两项研究包括两个不同的队列。在纳入的11项研究中,7项研究在美国进行,而一项研究在日本、意大利和中国进行,另一项研究在多个地理区域进行。
该分析包括四项前瞻性研究和七项回顾性队列研究。在治疗方法方面,所有研究都纳入了ICI治疗(单药治疗或联合治疗)。在11项研究中,有4项研究的生存数据报告为OS,6项研究将数据报告为ORR,其余研究同时报告了OS和ORR。
3、TMB及获得截止值的方法
采用不同的方法确定高TMB和低TMB的临界值。
采用不同的方法确定高TMB和低TMB的临界值。muts/Mb值的临界值范围为2.54-20.0,平均值为8.14,muts/外显子组值范围为86.0-175.0,平均值为130.5。9项研究报告了每兆碱基突变(muts/Mb)的数据,2项研究报告了每外显子组突变(mut/exome)的数据。muts/Mb 中位数范围为 3.04 至 7.6,平均值为 5.47。muts/外显子组值不可用。一项研究根据文献综述定义了175.0 muts/外显子组的高TMB值,两项研究使用的临界值分别为10.0和15.0 muts/Mb。三项研究根据中位TMB建立了临界值,计算值分别为5.0、6.71和7.6。另一项研究使用Cox比例风险模型确定最佳值,将10 muts/Mb设置为临界值,而另一项研究采用R语言生存包分析确定临界值为2.54。此外,一项研究使用尤登指数(Youden Index)确定了最佳临界点,将其设定为86.0 muts/外显子组[26],另一项研究选择了TMB的阈值,以在单变量生存模型中达到预测无进展生存期(progression free survival, PFS)的最佳性能,将其设定为3.34 muts/Mb,而在其余研究中,没有指定用于获得临界值的方法。
4、TMB 与 ICI 治疗后客观缓解率的关联
使用随机效应模型评估了7项研究(8个队列)对ICI治疗的汇总ORR进行了评估,涉及623例患者。高 TMB 患者组表现出更高的 ORR(OR = 2.62,95% CI 1.74–3.94,p < 0.0001)。

5、TMB 与 ICI 治疗的 HNSCC 患者总生存期之间的关联
采用随机效应模型,纳入5项研究(6个队列),共596例患者,评估了TMB对ICI治疗后HNSCC生存率的影响。这些研究的结果一致表明,高 TMB 患者的生存率更高。高TMB患者组表现出生存优势(HR=0.53;95%CI 0.39-0.71,p < 0.0001)。在随机效应模型下,合并数据是同质的(p = 0.19,I2= 33%)
6、异质性和敏感性分析
进行亚组分析以检查导致异质性的因素。当基于测序方法(NGS或WES)、临界值(≥10或<10 muts/Mb)或TMB定量(muts/Mb或muts/exome)进行亚组分析时,未观察到异质性发生实质性变化。此外,还使用leave-one-out方法进行了敏感性分析,以探索纳入的11项研究中潜在的异质性来源和结果的稳健性。该分析表明,排除任何一项研究都不会导致总体患病率或异质性的显着变化。
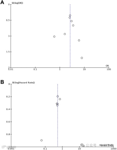
7、已发表的状态偏差分析
通过漏斗图评估文献中的发表偏倚。没有证据表明ICI治疗患者后ORR存在发表偏倚(Egger检验:p = 0.9782)。在ICI治疗患者的OS中,我们检测到一些发表偏倚(Egger检验:p = 0.0461)。值得注意的是,当这项研究被删除时,效应从0.53变为0.56。此外,如果我们对数据进行对称化,则获得的随机效应HR将为0.55 [0.38–0.80]。

这项史无前例的荟萃分析结果表明,与低 TMB 亚组相比,高 TMB 的 HNSCC 患者从基于 ICI 的治疗中表现出更高的获益,因此表明肿瘤突变负荷可能是预测这些患者 ICI 反应和治疗效果的有用生物标志物。总之,这些发现应鼓励在 R/M HNSCC 中作为前瞻性临床试验中标准化和经过验证的生物标志物,在免疫治疗前进一步研究 TMB 评估。

