今天小编和大家分享一篇发表在Frontiers in Endocrinology 杂志的文章《Relationship between advanced lung cancer inflammation index and long-term all-cause, cardiovascular, and cancer mortality among type 2 diabetes mellitus patients: NHANES, 1999–2018》作者旨在基于NHANES数据库探讨晚期肺癌炎症指数(ALI)与Ⅱ型糖尿病(T2DM)患者全因、心血管疾病(CVD)和癌症死亡率之间的关联。对于NHANES数据库应用有意向的,可以与我们联系,方法适用于其他类型疾病。
摘要:
Ⅱ型糖尿病是一种慢性低度炎症性疾病,其预后与炎症有关。晚期肺癌炎症指数是评估炎症的综合指标,其与Ⅱ型糖尿病之间的关系尚不明确。本研究旨在评估ALI与T2DM患者全因、心血管疾病和癌症死亡率之间的关系。从NHANES数据库中提取1999 - 2018年的队列数据进行分析。采用加权Kaplan - Meier分析和多因素Cox分析评估ALI与T2DM患者全因、CVD和癌症死亡率的关系。采用限制性立方样条(RCS)分析来评估它们之间的非线性关系。另外,还进行了分层分析和交互作用分析,以增强结果的稳健性。本研究共纳入3 888例患者。结果显示,ALI的增加与T2DM患者全因死亡和CVD死亡风险降低有关,但与癌症死亡无关。ALI与T2DM患者全因死亡率、CVD死亡率分别呈J型和L型非线性关系。拐点分别为90.20和93.06。对于低于拐点的值,ALI每增加10U,全因死亡风险和CVD死亡风险均降低9%。超过拐点后,全因死亡率上升3%,而CVD死亡率未受影响。按性别分层的RCS分析显示,女性T2DM患者的CVD死亡率与ALI呈线性负相关,而男性T2DM患者的趋势与总体人群一致。

研究结果:
基线特征
从NHANES 1999 - 2018队列中,我们初步抽取了96811名参与者,根据纳入和排除标准,共有3888名参与者被视为符合条件。根据ALI程度将受试者分为4组,每组972人。Quantile1组、Quantile2组、Quantile3组、Quantile4组的平均ALI值分别为33.02、54.29、73.68、121.83。3,888名参与者的平均年龄为60.03岁。
与Quantile1组相比,Quantile2组、Quantile3组、Quantile4组表现出明显的特征:年龄较小;他们的BMI值较高;从性别构成来看,女性比例较高;白人个体所占比例较低;糖尿病病程超过10年的患者比例有所下降;不使用降糖药物或胰岛素的比例较高;实验室指标方面,白蛋白、淋巴细胞、ALT水平较高,中性粒细胞、NLR、Cr水平较低。观察相似的教育水平、PIR、HbA1c、吸烟状况、饮酒状况和高血压状况。详细信息见表1。

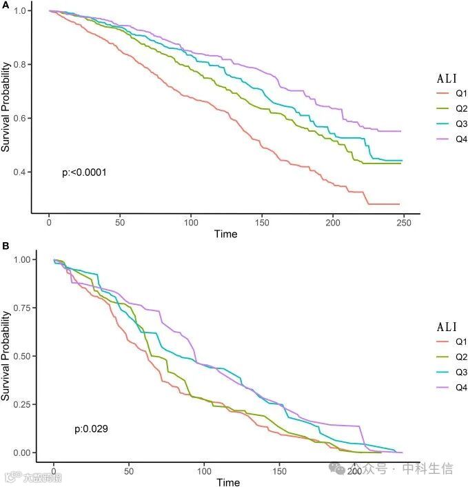
Kaplan-Meier分析
在3888名参与者中,共记录了1005例全因死亡,320例CVD死亡和160例癌症死亡。Kaplan - Meier分析用于初步评估ALI水平与T2DM患者全因、CVD和癌症死亡率之间的关系。结果表明,在T2DM患者中,较高的ALI水平与全因(图2A)和CVD死亡率(图2B)降低有关,而ALI水平与癌症死亡率无关(附图S1)。

ALI和死亡率
在调整多个协变量后,应用单因素和多因素Cox回归分析,以进一步检查ALI水平对T2DM患者全因、CVD和癌症死亡率的影响,结果以风险比(HR)和95%置信区间(CI)表示。本研究共使用了4个模型,如下所示:粗略模型,意味着未对混杂因素进行调整。模型1暗示对年龄、性别、种族、教育水平和 PIR 进行了调整,用于控制人口因素的影响。模型2表明对年龄、性别、种族、教育水平、PIR、吸烟状况、酒精状况、高血压和药物使用进行了调整,用于控制人口因素和既往疾病史的影响。模型3根据年龄、性别、种族、教育程度、PIR、吸烟状况、酒精状况、高血压、药物使用、ALT、HbA1c和Cr.进行调整,用于控制人口统计学因素、既往疾病史和实验室指标的影响。
研究结果如表2所示,较高的ALI水平与T2DM患者的全因死亡率降低有关。与Quantile1组相比,Quantile2组、Quantile3组和Quantile4组的HR(95%CI)分别为0.73(0.58-0.92)、0.80(0.61-1.04)和0.76(0.59-0.97)(P for trend=0.04)。
在心血管疾病死亡率方面,也观察到类似的趋势,即T2DM患者中较高水平的ALI与较低的CVD死亡率相关。Quantile2、Quantile3和Quantile4组HR(95%CI)分别为0.86(0.63-1.19)、0.73(0.50-1.06)、0.68(0.47-0.98)(P for trend=0.04)。
然而,在癌症死亡率中没有发现HR持续下降的趋势。ALI水平与癌症死亡率无相关性,Quantile2组、Quantile3组和Quantile4组HR(95%CI)分别为1.17(0.64-2.17)、0.80(0.46-1.40)、1.39(0.61-3.18)(P for trend=0.89)。
评估ALI的动态变化对T2DM患者的预后至关重要。ALI每增加10U,全因死亡率的多变量校正HR为0.97(0.94-1.01),CVD死亡率为0.95(0.90-1.00),癌症死亡率为0.99(0.92-1.07)

非线性关系
基于模型3,RCS分析表明,T2DM患者ALI水平与全因死亡率之间存在J型非线性关系(图3A),ALI水平与CVD死亡率之间存在L型非线性关系(图3B)。然而,在癌症死亡率方面没有发现非线性关系(附图S2)。
本研究表明,全因死亡率和心血管疾病死亡率的拐点分别为90.20和93.06。ALI值低于90.20时,ALI每增加10U,全因死亡风险降低9%(HR:0.91,95%CI:0.86-0.97,P for trend=0.002)。然而,当ALI超过90.20时,ALI每增加10U,全因死亡风险就会增加3%(HR:1.03,95%CI:1.00-1.07,P for trend=0.04)。ALI值低于93.06时,ALI每增加10U,CVD死亡风险降低9%(HR:0.91,95%CI:0.84-0.98,P for trend=0.02)。然而,当ALI超过93.06时,ALI每增加10U并不能增加CVD死亡风险(HR:1.01,95%CI:0.98-1.04,P for trend=0.68)(表3)。

分层和敏感性分析
对全因死亡率潜在相互作用的分层分析显示,没有显著的分层变量。在心血管疾病死亡率中也观察到类似的结果。
然而,在癌症死亡率方面,除了种族和吸烟状况外,其他分层变量中没有观察到显着的相互作用(附表S1-S3)。此外,我们评估了按全因死亡率和CVD死亡率的拐点分组后,分层变量之间是否存在相互作用。对于全因死亡率,结果表明,除性别外,其他变量均未观察到显著的交互作用。就心血管疾病死亡率而言,仅与性别和吸烟状况存在相互作用。其余未观察到显著的相互作用(附表S4、S5)。
与对照组(ALI<90.20组和ALI<93.06组)相比,ALI超过90.20组的全因死亡率HR(95%CI)为0.58(0.43-0.78)(P for trend<0.001),心血管疾病死亡率HR(95%CI)为0.34(0.19-0.61)(P趋势<0.001) 用于ALI大于93.06的人。
因此,我们对非线性关系进行了额外的分析,按性别细分。在全因死亡率方面,结果表明,男性和女性的趋势与总体人口一致,这意味着随着ALI的增加,死亡风险先降低后上升,拐点分别为83.65和103.15。非线性男性和女性的P值分别<0.0001和0.04(附图S3)。
男性和女性之间的心血管疾病死亡率存在明显差异。在男性中,拐点(77.17)之前,CVD死亡风险随着ALI的增加而降低(HR:0.83,95%CI:0.71-0.97,P=0.02)。然而,拐点过后,CVD死亡率与ALI之间无相关性(HR:1.11,95%CI:0.99-1.24,P=0.09)。值得注意的是,在女性中,没有观察到拐点。ALI与CVD死亡率呈线性负相关,随着ALI的增加,CVD死亡风险逐渐下降。ALI每增加10U,女性T2DM患者的CVD死亡风险降低11%(HR:0.89,95%CI:0.83-0.97,P=0.01)(附表S7,附图4)。
重要的是,敏感性分析显示,当排除没有糖尿病持续时间信息的患者时,结果没有显着变化。我们在模型 3 中加入了一个额外的协变量(糖尿病持续时间),并重新进行了多变量 Cox 分析(附表S6)。
结论:
总之,我们的研究初步发现,T2DM患者的ALI水平升高与全因死亡率和心血管疾病死亡率降低之间存在显著相关性。这项研究表明,ALI与全因死亡率呈"J "形非线性关系,与心血管疾病死亡率呈"L "形非线性关系,拐点分别为90.20和93.06。值得注意的是,男性和女性的心血管疾病死亡率存在差异。女性患者的心血管疾病死亡率与ALI呈线性负相关,而男性患者则出现了峰值效应:当ALI超过77.17时,死亡风险不会随着ALI的增加而下降。这些研究结果表明,在临床环境中将ALI(例如,控制体重并将白蛋白保持在正常范围内)维持在一定范围内对于改善T2DM患者的全因死亡率和心血管疾病死亡率至关重要。根据性别制定个性化的ALI值标准也能最大限度地提高男性和女性T2DM患者的生存率。

