




有了溶解度数据和剩余固体的晶型,我们就可以通过范特霍夫方程计算得到转晶温度。以第一组溶解度为例进行计算:
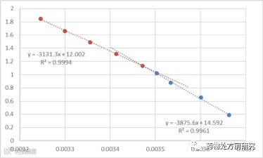
首先将数据输入Excel,然后分别计算出1/T和In S的值,然后以1/T为横坐标,In S为纵坐标作图,并添加趋势线。此处分别对水合物和无水晶型作图,得出两条线,而它们的交点即为转晶点。得到两条线的拟合方程,分别为y = -3131.3x + 12.002和y = -3875.6x + 14.592,令y相等,则可以求得x=0.003479,即T=287.43。换算为摄氏度即为14.3°C。


一般情况下,水合物的溶解度在室温条件下是低于无水晶型的,这也是药物水合物普遍存在的原因之一,但也有一些特例。ROSITZA I. PETROVA等人研究了一种化合物的多晶型,分子结构如下图所示。该化合物已经发现的有三种无水晶型(anhydrate),一个一水合物(monohydrate)和一个二水合物(dihydrate)。

Form I是热力学最稳定的无水晶型,Form I可以通过如下方法制备:将1体积化合物热的(40°C)乙酸溶液(167 mg/mL)加入至1体积的水中,得到的混悬液老化1个小时,然后冷却至室温。再加入1体积水,混悬液在15°C老化1小时。
一水合物可以通过如下方法制备:在室温下,将1体积化合物的乙酸溶液(100 mg/mL)加入至10体积的水中,然后冰水浴冷却至5°C。二水合物可以通过同样的步骤制备得到,只是起始化合物浓度为200 mg/mL。
另外两个无水晶型Form II和Form III不能从溶液中直接得到。其中Form II可以通过加热Form I至熔融,然后冷却结晶得到。Form II的熔点高于Form I,但是Form I和Form II在水中室温下等量竞争打浆会得到Form I。说明Form I和Form II是互变关系(enantiotropically related)。Form III可以通过一水合物或者二水合物脱水得到。Form III的熔点是最低的,而且熔融转化为Form I。Form I和Form III在水中室温下等量竞争打浆会得到Form I。因此,Form I和Form III是单变关系(monotropically related)。基于上述结果,Form I至少是室温下热力学最稳定晶型。
一水合物是最先发现的晶型,有趣的是将一水合物在纯水中打浆居然得到了无水的晶型I。这很显然和常规的理论和经验规则是不一致的。为了研究水合物的稳定区间,进行了不同水活度条件下的竞争打浆实验。将一水合物、二水合物和无水晶型晶型I等量混合,然后在不同水含量的甲醇-水体系打浆,水含量从0到100%(体积百分数)。混悬液在5°C到50°C的范围内打浆72小时。所有实验条件下,混合物都转化为无水的Form I。上文也提高,水合物和无水晶型的热力学稳定性关系除了和水活度,和温度也有关系。另外,低温有利于水合物的存在。因此,设置了更多的水活度实验,不同的溶剂体系,在更低的温度,0,﹣5°C和﹣20°C。结果所有的实验都只得到一种单一的晶型,即无水的Form I。
为研究水合物和无水晶型转化动力学,将等量一水合物和二水合物的混合物在25°C下水中打浆,通过XRPD监控转晶的速率。结果发现两个水合物在15分钟内即完全转化为无水的Form I。如此快速的转化速度很难测定两个水合物的溶解度和溶出速率。所以又研究了在不同湿度下的转化情况。实验发现,在较低的湿度(5%RH)下,一水合物和二水合物在3小时内即转化为Form I,这比较符合通常的实验现象。但有意思的是,水合物在高湿(97.5%RH和100%RH)和低湿(5%RH)情况下比常规湿度(如31%RH和58%RH)下更容易转化为无水晶型。推测可能的原因是:在低湿度下,水合物脱水转化为无水晶型,而在高湿度条件下,水的多层吸附以及毛细管凝聚使得水合物发生溶剂介导相转变,类似在纯水中打浆。
在药物固态研究中,很少有一个“定理”,所有的实验结果都符合这样的“定理”。往往都有一些特例,比如竞争打浆得到的不一定是热力学最稳定晶型,可能存在“溶剂效应”。游离态和酸或碱的电离常数差值小于2也不一定不能成盐,等等。因此,在药物固态开发时,如果遇到不太符合常理的现象,不要急于认为“不可能”,而是应该多查阅文献,是不是有一些特例。即使没有文献报道,也不代表不存在,应该有自己的思考和探索。
1. Petrova, Rositza I., et al. "Rapid conversion of API hydrates to anhydrous forms in aqueous media." Journal of pharmaceutical sciences 98.11 (2009): 4111-4118.
2. Qu, Haiyan, Marjatta Louhi-Kultanen, and Juha Kallas. "Solubility and stability of anhydrate/hydrate in solvent mixtures." International journal of pharmaceutics 321.1-2 (2006): 101-107.
3. Zhao, Jing, et al. "Monitoring the polymorphic transformation of imidacloprid using in situ FBRM and PVM." Organic Process Research & Development 17.3 (2013): 375-381.

