异构现象代表了自然界和科学界最流行的多晶型现象,在功能材料中发挥着重要作用。由于相同结构单元的空间排列不同,MOF 或 SMF不同的拓扑异构性通常表现出不同的结构特征,进而表现出不同的功能。而COF很少观察到异构现象,这可能与固有嵌段间强烈的相互作用和COF结构确定的困难有关。
2023年11月9日,北京科技大学姜建壮教授研究团队、王海龙教授团队与美国国家标准与技术研究院中子研究中心Wei Zhou教授团队,在《Journal of the American Chemical Society》发表文章《Observation of Interpenetrated Topology Isomerism for Covalent Organic Frameworks with Atom-Resolution Single Crystal Structures》,IF=15.0。该文章展现了罕见的COF异构体,并通过 3D ED 和 SSXRD 技术表征出该异构体的晶体结构,明确揭示了柔性分子构型在骨架能量学以及COF异构体形成中的重要作用。
苏州青云瑞晶生物科技有限公司参与到该项研究中,使用MicroED技术 (又称3D ED技术或cRED技术) 协助完成COF材料微晶结构解析工作。
01
摘要
上下滑动阅读更多内容
02
内容速览
构建 USTB-20-dia 和 USTB-20-qtz
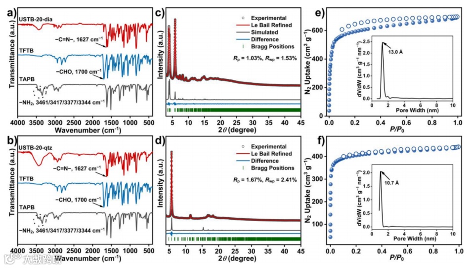
TFTB 和 TAPB 在不同条件下进行以下缩合。在四氢呋喃(THF)中室温反应10天得到淡黄色块状USTB-20-dia单晶;而在二氯甲烷(DCM)中50℃反应2天得到白色的USTB-20-qtz。
USTB-20-dia 的单晶结构通过 在100.0 K低温条件下 3D ED 技术测定,获得了高分辨率(∼0.9 Å)的数据。
青云瑞晶贡献
MicroED (又称3D ED技术或cRED技术) 解析晶体结构工作由苏州青云瑞晶生物科技有限公司协助完成。COF材料送测晶体尺寸最小仅约500nm,青云瑞晶共计收集12余套数据,选择其中质量最好的4套数据合并处理,用时7天完成结构解析 。
送测的样品及衍射数据收集图像
使用SSXRD成功地对USTB-20-qtz进行了解析,分辨率高达1.1 Å。
从得到的两种COF异构体的晶体结构来看,TFTB和TAPB在相邻苯环之间的可变二面角方面都表现出灵活的构型。这就导致了现在的同分异构体。
COF异构体的表征及气体与蒸汽吸附
上下滑动阅读更多内容
COF异构体的形成机理
上下滑动阅读更多内容
03
MicroED
问
什么是MicroED?/为什么MicroED可以解析纳米尺寸晶体?
答
MicroED技术(又称为微晶电子衍射/三维电子衍射) 是一种新的基于电镜解析晶体结构的技术。其原理与X射线衍射类似,但入射光束为高能电子,由于波长更短而与晶体作用更强,因此仅需少量微纳尺寸的晶体即可快速获得电子衍射数据。
问
MicroED的优势是什么?
答
微纳米尺寸晶体
相比于传统的X射线衍射,MicroED所需的晶体尺寸非常小,大于100纳米的晶体即可在电镜下获得衍射数据。
针对难以培养单晶的样品优势明显。
周期短
青云瑞晶自开发了电子衍射数据收集自研软件、结构解析数据整合自研软件,可短时间内收集多套高质量衍射数据,并完成结构解析。仅需3-7天。
纯度要求低
针对合成材料样品纯度低的问题,MicroED不受样品纯度影响,可以在混合物相中识别出所需解析样品,完成数据收集。
问
MicroED的适用范围?
答
· MOF、COF、Zeolite、有机分子、无机材料
·小分子药物、天然产物、共晶复合药物、PROTAC、多肽药物
·蛋白质、蛋白-配体复合物
「青云瑞晶」是一家专业的CRO(研发服务提供商)。公司拥有高标准的实验室、先进的设备,和丰富经验的博士硕士研究人员,在结构生物学技术服务,药物固态研究和新材料结构表征,三个业务板块,为客户提供最先进的解决方案。
公司自主开发了国际领先的MicroED结构解析平台,结合冷冻电镜单颗粒(CryoEM-SPA)及同步辐射单晶X射线衍射(XRD),为客户解决难点问题。
电话号码|18962587269
邮箱|contact@readcrystal.com

