金属有机非线性光学(NLO)材料同时具有来自有机和无机组分的优越性质,但目前能应用的实例较少。11月26日,武汉纺织大学吴奇教授团队和北京师范大学陈玲教授团队在《Angewandte Chemie International Edition》(IF:16.1)发表了他们最新的研究成果,设计合成了新型的金属有机复合物Zn(C5H4NO)2,在其中发现了非传统的4-羟基吡啶双齿配位模式,该材料产生了非常强的SHG效应,强度在所有紫外透明含锌金属有机化合物中为最大。
内容速递
Zn(C5H4NO)2的合成和结构确证
低温固相法合成了Zn(C5H4NO)2,得到白色纯净的Zn(C5H4NO)2粉末。通过三维电子衍射3D ED(又称MicroED)技术解析了Zn(C5H4NO)2的晶体结构,确定了所有C、H、O、N、Zn原子的位置,并确认了样品的物相特征和纯度。
方案 1. Zn(C5H4NO)2 的合成与机理
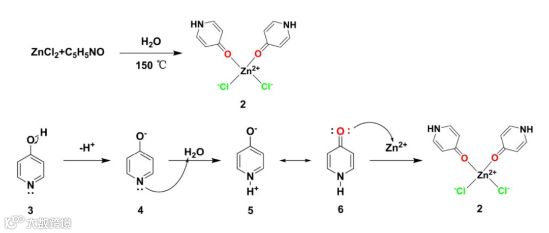
方案 2. Zn(C5H4NO)2Cl2 的合成及其机理
图1. Zn(C5H4NO)2 的单晶电子衍射图 Zn(C5H4NO)2 的单晶电子衍射图:(a) (0kl) 面、(b) (h0l) 面和 (c) (hk0) 面。(d) 通过三维前驱电子衍射层析技术数据重建得到的 Zn(C5H4NO)2 单胞结构。
Zn(C5H4NO)2晶体结构特点
Zn(C5H4NO)2是极性晶体,结晶在非中心对称(NCS)空间群Fdd2中,每个Zn2+以四配位方式与两个去质子的O原子和两个吡啶N原子配位,形成扭曲的[ZnN2O2]四面体。
在单个配体分子中,O和N原子同时与两个相邻的Zn2+阳离子配位,完成双齿配位模式。
图2. Zn(C5H4NO)2 的晶体结构 Zn(C5H4NO)2 的晶体结构:(a) Zn2+ 的局部配位层;(b) 单个二维层的(100)视图,其中[ZnN2O2]四面体突出显示;(c) (010)结构视图,显示沿 a 方向的 π-π 相互作用。
SHG效应
双齿配位模式使得[ZnN2O2]四面体的极化均匀排列,产生强烈的SHG效应,其强度是所有紫外透明含锌金属有机化合物中最大的,达到13.6倍KDP。
图 3. 不同配位模式的发展:(a)Zn(C5H4NO)2 中 (C5H4NO)- 的非常规异主配位模式;(b)Zn(C5H4NO)2Cl2 中 C5H5NO 的常规单主配位模式。
Zn(C5H4NO)2光学性质
使用Kubelka-Munk方法测量的Zn(C5H4NO)2的带隙为4.40 eV,表明其在紫外区域具有透明度。
计算了Zn(C5H4NO)2的非线性光学系数,显示其在1064nm激光下的SHG强度最大,是最近报道的含锌半有机NLO晶体材料中最强的。
图 4. Zn(C5H5NO)2Cl2 和 Zn(C5H4NO)2 的线性和非线性光学特性:(a) 通过陶氏图法获得的带隙;(b) Zn(C5H4NO)2 和参考 KDP 的 SHG 强度-粒度变化曲线。入射激光束波长为 1064 nm。(插图:粒径在 280 纳米到 450 纳米之间的样品的 SHG 强度比较)。(c) 某些含锌金属有机 NLO 材料的比较:Zn(C6H8N)2SO4、Zn(C5H9NO2)2Cl2、[Zn(Hntb)]n、Zn2(bpp)(pht)2、Zn(C6H4NO2)2、[Zn(bct)(H2O)2]、Zn(S,S)C14H14N2O6、Zn(R,R)C14H14N2O6、[10] 和 Zn(C5H4NO)2。
图 5.(a)Zn(C5H4NO)2 的电子密度分布;(b)Zn(C5H4NO)2 的理论 SHG 系数;Zn(C5H4NO)2 中(c)VEOCCP 和(d)VEUNOCCP 的 SHG 加权密度。
MicroED结构解析服务为「青云瑞晶」核心特色业务,青云瑞晶搭建了国际领先的商业化MicroED结构解析平台,将原有的技术升级优化,并自主开发了全套配合MicroED技术使用的全新软件算法。目前,青云瑞晶MicroED平台已完成500+个小分子结构解析。
电话号码|18962587269
邮箱|contact@readcrystal.com

