在碳达峰、碳中和气候新目标背景下,我国大气污染防治形势呈现出新特点。一是我国PM2.5污染仍未达标、O3污染凸显,需实现PM2.5与O3污染协同控制;二是我国能源结构以煤为主,CO2排放居高不下,需推进大气污染物与CO2协同减排;三是我国进入大气污染防治新的攻坚期,需从单一污染物控制向空气质量整体改善和环境风险综合防控转变。在此背景下,构建大气污染防治综合决策平台,可为我国大气污染防治政策制定提供有力的科技支撑。
一、大气污染防治综合决策支持平台——中国空气污染控制成本效益与达标评估系统(Air Benefit and Cost and Attainment Assessment System, ABaCAS)
在生态环境部、美国环保署、能源基金会共同支持下,来自清华大学、华南理工大学、田纳西大学等高校专家组成的项目团队联合开发了中国空气污染控制成本效益与达标评估系统(以下简称ABaCAS系统),该系统旨在综合利用区域空气质量改善获得的人体健康效益及相应的污染治理成本货币化结果,优化污染控制策略,以有效降低我国区域大气污染,减少人体健康损害,达到国家空气质量标准。
ABaCAS系统由多尺度动态排放清单与污控技术库(ABaCAS-EI)、减排–空气质量响应模拟(RSM)、空气质量目标减排量反算(LECO)、空气质量评估及数据融合(SMAT)、观测—响应模型同化(RSM-assimilation)、健康及生态效益评估(BenMAP)、气候变化–大气污染综合评估等七大核心技术支撑,并构成两大核心系统:大气污染防治费效及达标评估一体化系统(ABaCAS-SE)与污染防治综合决策优化反算系统(ABaCAS-OE),为科学家和决策者提供了一个能够进行空气污染控制成本与健康经济效益综合评估的用户友好型系统框架。
二、大气污染防治综合决策支持平台的应用——我国大气污染综合防控策略分析
通过应用ABaCAS系统,可帮助决策者制定成本最优的多污染物协同控制方案。以我国京津冀及周边地区PM2.5和O3协同控制为例。
基于PM2.5和O3与其前体物排放的响应关系,利用ABaCAS系统中RSM技术定量计算减排路径,对不同阶段的NOx与VOCs的减排侧重进行控制,即阶段一 VOCs与NOx配合削减,阶段二重点控制NOx,进而计算实现京津冀PM2.5与O3协同控制的NOx与VOCs减排比,提出协同控制策略建议。
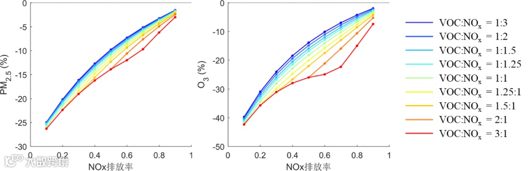
PM2.5和O3协同控制关键在于NOx与VOCs减排
分析指出,PM2.5和O3协同控制的关键在于NOx与VOCs减排。冬季以控制PM2.5为重点,但在不同减排路径下O3浓度均会增加,并促进二次颗粒物的生成(图1),需对VOCs协同减排;夏季自然源VOCs排放较多,PM2.5和O3对NOx的敏感性显著增加(图2),需对NOx重点减排。
图1.冬季不同减排路径下PM2.5与O3浓度的变化(%)
图2. 夏季不同减排路径下PM2.5与O3浓度的变化(%)
区域联防联控是京津冀及周边地区大气PM2.5和O3协同达标的重要环节
区域联防联控是京津冀及周边地区大气PM2.5和O3协同达标的重要环节,也是成效比最优的达标路径。以北京PM2.5污染为例,如图3所示,基于LECO模型,对五种本地与区域减排比例下的减排情景及其成本进行测算,结果显示,在PM2.5目标浓度较高时,本地控制情景成本最少,但减排潜力有限。为实现更低的PM2.5目标浓度,协同周边减排是必然选择,且本地区域等比例减排情景可在费效比最优下实现达标,主要控制成本来自对NOx和VOCs的控制。
图3. 五种减排情景下的动态成本曲线
注:
1)本地与周边同比例控制(即L:R=1:1)
2)本地控制高于周边控制25%(即L:R=1:0.75)
3)本地控制高于周边控制50%(即L:R=1:0.5)
4)本地控制低于周边控制(即L:R=0.5:1)
5)仅本地控制(即L:R=1:0)
空气质量目标倒逼能源结构转型,低碳措施助力实现空气质量达标
为实现PM2.5和O3协同控制,需大量减排NOx和VOCs,而仅靠末端控制措施不足以较大程度地控制NOx和VOCs,需结合能源措施,以空气质量目标倒逼能源结构转型,低碳措施助力实现空气质量达标。对未来减排情景进行分析,即使能源措施满足国家自主贡献要求,末端控制措施保证最大可行减排,仍无法实现PM2.5浓度全面达标。而通过加严能源措施,并保持最严格末端措施,可实现空气质量目标。
三、大气污染防治综合决策支持平台未来展望
未来,ABaCAS系统将进一步结合大气污染防治与气候应对协同治理的相关需求继续优化升级,在进一步开发和应用过程中将在以下两个方面进行完善和提高:一是继续完善健康效益结果,提高评估准确性;二是将生态风险加入评估考量,如气候变化带来的生态风险、有毒有害污染物及区域传输等因素对人体健康的影响等。为我国实现碳中和愿景和空气质量持续改善提供有力的科技支撑。
专家简介
邢佳 副教授
清华大学
【CCAPP 秘书处根据会议记录整理发布。】
【文中图片来源:演讲者PPT,其他图片来源:网络】
美科环境
空气质量管控服务专家
点击 阅读原文 查看美科官网更多内容

