
密度泛函理论中,局域密度近似(LDA)或广义梯度近似(GGA)往往会低估带隙值,那么如何使理论计算的带隙值与实验值一致呢?目前常用的有两种调控制带隙的方法:DFT+U和杂化泛函(Hybrid Functionals )理论。之前我们已经介绍了DFT+U的相关理论,接下来将通过以下5部分内容为大家介绍杂化泛函:
1) 什么情况下需要使用杂化泛函?
2) 杂化泛函参数如何设置?
3) 杂化泛函的类型
4) 杂化泛函计算案例
5) “一步”完成杂化泛函计算
密度泛函理论(density functional theory,简称DFT)是指从电子密度出发,通过各种近似理论求解Kohn-Sham(KS)方程得到多电子体系能量及其它性质的方法。
局域密度近似(LDA)或广义梯度近似(GGA)在求解时,交换能和关联能均未知;而在传统量化Harteen-Fock(HF)自洽场近似方法可知能够给出体系精确的交换能。因此杂化泛函理论通过将HF方法中的交换能与DFT方法中的能量做线性组合得到新的交换关联泛函,其计算公式如下:

式中的a为HF方法的线性组合系数。
杂化泛函能够更好的描述电子自相互作用比较严重的体系,并且可以通过改变线性组合系数来调节HF交换泛函与DFT交换泛函的比例,使得计算结果更为精确,更加的接近实验的真实结果。
VASP(注:VASP 是商业软件,用户要自带版权,下同)计算时杂化泛函输入文件由以下参数确定:
LHFCALC=.TRUE.|.FALSE.: 开启/关闭杂化泛函功能,默认值为.FALSE.;
AEXX指定HF/DFT杂化函数计算中的精确交换分数,默认值为0.25;
AGGAX=1.0-AEXX指定HF/DFT杂化泛函计算中交换的梯度校正分数;
ALDAC指定HF/DFT杂化泛函计算中LDA相关性的分数,默认值为1.0;
ALDAC指定HF/DFT杂化泛函计算中LDA相关性的分数,默认值为1.0;
HFSCREEN指定杂化泛函计算中区间分离参数。
1)HSE06
默认值:
LHFCALC=.TRUE.;
AEXX=0.25;
AGGAX=1-AEXX=0.75;
AGGAC=1.0;
ALDAC=1.0;
HSE06杂化泛函公式如下:

HSE06是目前运用最广泛的杂化泛函方法,一般适用于半导体体系。
2)PBE0
默认值:
LHFCALC=.TRUE.;
AEXX=0.25;
AGGAX=1-AEXX=0.75;
AGGAC=1.0;
ALDAC=1.0;
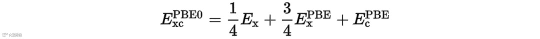
PBE0杂化泛函公式如下:

式中,ExPBE和EcPBE分别表示PBE密度泛函的交换部分和相关部分
PBE0适用于固体体系。
3)B3LYP
默认值:
LHFCALC=.TRUE.;
AEXX=0.2;
AGGAX=0.72;
AGGAC=0.81;
ALDAC=0.19;
B3LYP杂化泛函公式如下:

其中ExB3LYP和EcB3LYP分别为B3LYP的交换和相关能量贡献。
B3LYP适用于分子体系。
1)案例:
绝缘、反铁磁有序的MnO结构的实验带隙为4.02 eV,自旋磁矩为4.52 μB,优化后的晶格参数a=4.40 Å。本文作者使用不同的泛函理论计算MnO的相关性质并与实验值进行比较,结果如下:

表格中分别为MnO的计算值和实验值:能隙(△);自旋磁矩(m);eg−t2g能级分裂(△ν);晶格常数(a)。
结果表明,PBE0杂化泛函计算的理论结果与实验结果比较一致,可以更好地描述MnO的结构、电子和磁性。
因此,对于含有d轨道强库仑相互作用的MnO结构,通过DFT+U和杂化泛函都是调控带隙值的有效方式,使得理论计算的带隙值更加接近于实验值。
Reference:
[1] Physical Review B, 2005, 72: 045132.
2)DFT+U和杂化泛函计算的特点:
DFT+U计算速度较快但是选取合适的U值是比较重要的。
只要体系结构正确(结构优化准确),杂化泛函相比于一般的泛函计算的带隙值比较接近于实验值;但是杂化泛函计算速度很慢,需要较大的计算内存,均为DFT+U的10倍左右。
综上可知杂化泛函计算比较浪费时间及服务器内存,因此运用杂化泛函计算结构能带步骤如下:
1)结构优化(PBE泛函)
2)静态计算(分别用PBE和杂化泛函)
3)能带计算(杂化泛函)
集材料计算模拟、材料数据库及材料AI工业为一体的云计算平台—MatCloud+可通过搭建如下工作流,“一步”完成多个杂化泛函的多步计算操作:

上图中两步静态计算分别对应PBE和杂化泛函计算;三个能带结构计算分别对应不同的杂化泛函计算;其中MatCloud+通过点选的方式选择不同类型的杂化泛函:

迈高材云科技有限公司
迈高科技与中科院、高校研究院、超算中心等单位都有着密切的合作,在高通量材料计算和筛选、数据管理、以及数据挖掘领域研发了系列核心技术。其中MatCloud+材料云平台,已有超过2000名注册用户,并在锂电池材料、液态金属、稀贵金属、催化材料的研发得到了应用。
迈高科技将致力于把MatCloud+打造成国际一流的高通量材料集成计算云平台, 帮助企业从计算、数据和人工智能”第四范式“加快新材料研发, 成为助力我国新材料研发进程的加速器!
往期精彩👇

